Show filters
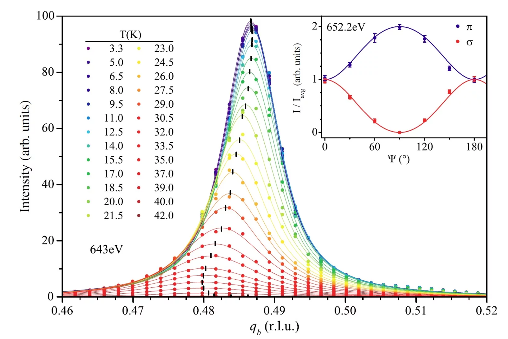
Multiferroic Properties of o−LuMnO3 Controlled by b-Axis Strain
Strain is a leading candidate for controlling magnetoelectric coupling in multiferroics. Here, we use x-ray diffraction to study the coupling between magnetic order and structural distortion in epitaxial films of the orthorhombic (o-) perovskite LuMnO3. An antiferromagnetic spin canting in the E-type magnetic structure is shown to be related to the ferroelectrically induced structural distortion and to a change in the magnetic propagation vector.
Plasma interactions determine the composition in pulsed laser deposited thin films
Plasma chemistry and scattering strongly affect the congruent, elemental transfer during pulsed laser deposition of target metal species in an oxygen atmosphere. Studying the plasma properties of La0.6Sr0.4MnO3, we demonstrate for as grown La0.6Sr0.4MnO3-δ films that a congruent transfer of metallic species is achieved in two pressure windows: ∼10−3 mbar and ∼2 × 10−1 mbar.
Low-temperature solid-oxide fuel cells based on proton-conducting electrolytes
The need for reducing the operating temperature of solid-oxide fuel cells (SOFCs) imposed by cost reduction has pushed significant progress in fundamental understanding of the individual components, as well as materials innovation and device engineering. Proton-conducting oxides have emerged as potential alternative electrolyte materials to oxygen-ion conducting oxides for operation at low and intermediate temperatures.
Determination of conduction and valence band electronic structure of La2Ti2O7 thin film
The electronic structure of a La2Ti2O7-layered perovskite thin film was determined by resonant inelastic X-ray scattering (RIXS) measurements and FEFF calculations. It was found that the empty Ti and La d-band states dominate the conduction band of the structure, whereas the top edge of the valence band is mainly composed of filled O-p states. Furthermore, there is a pronounced overlap between occupied La-p states and O-s states, which are located deeper in the valence band.
 
![Temperature dependence of the (050) reflection from a 200 nm o−LuMnO3 [110]-oriented film. Inset (a): Temperature dependence of the integrated intensity from the (050) structural reflection (black) and the (0qb≈½0) magnetic reflection (red) of this film. Inset (b): The simplest approximation for a distortion producing nonzero intensity for a (0k0) reflection with k odd, depicted for two atoms along the b direction.](/sites/default/files/styles/teaser_grid_3_2_crop_xl/public/import/num/SHL20141014MultiferroicPropertiesEN/LMO_Strain_Will_PRL_2014.jpg.webp?itok=HqQwlzeG) 
 
 
