Multiferroic Properties of o−LuMnO3 Controlled by b-Axis Strain

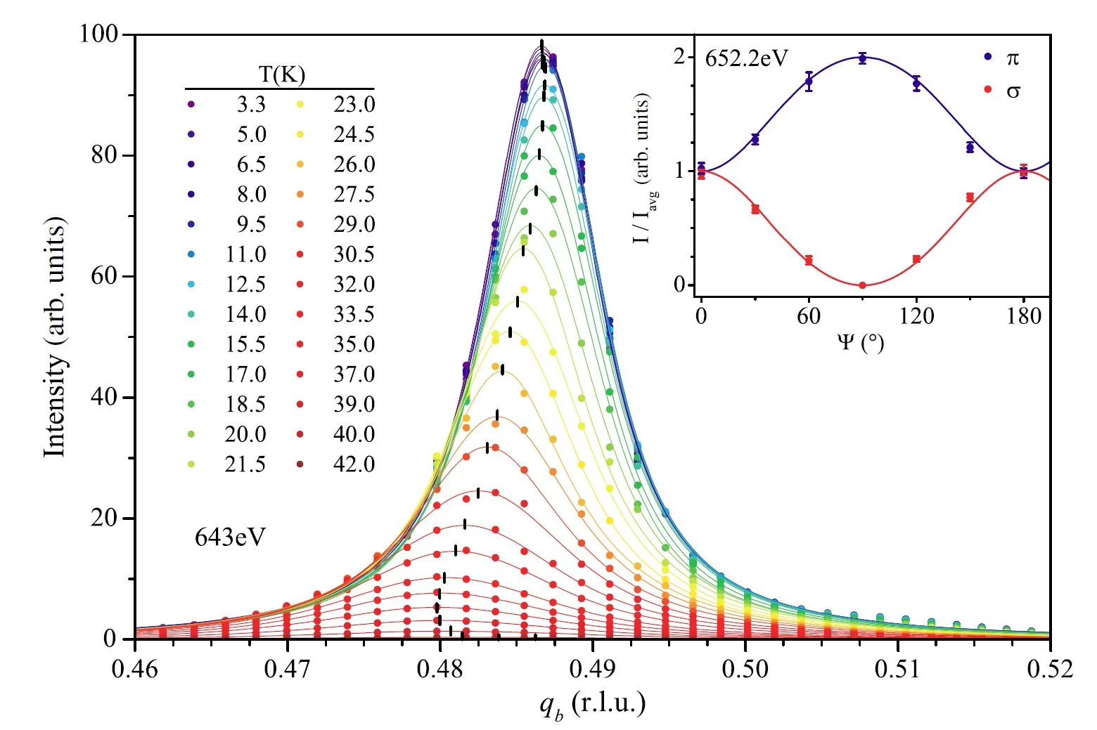
Temperature dependence of the (050) reflection from a 200 nm o−LuMnO3 [110]-oriented film. Inset (a): Temperature dependence of the integrated intensity from the (050) structural reflection (black) and the (0qb≈½0) magnetic reflection (red) of this film. Inset (b): The simplest approximation for a distortion producing nonzero intensity for a (0k0) reflection with k odd, depicted for two atoms along the b direction.
Strain is a leading candidate for controlling magnetoelectric coupling in multiferroics. Here, we use x-ray diffraction to study the coupling between magnetic order and structural distortion in epitaxial films of the orthorhombic (o-) perovskite LuMnO3. An antiferromagnetic spin canting in the E-type magnetic structure is shown to be related to the ferroelectrically induced structural distortion and to a change in the magnetic propagation vector. By comparing films of different orientations and thicknesses, these quantities are found to be controlled by b-axis strain. It is shown that compressive strain destabilizes the commensurate E-type structure and reduces its accompanying ferroelectric distortion.
Keywords: Multiferroic thin films; Orthorhombic rare-earth manganites; Resonant soft x-ray scattering; Antiferromagnet; Incommensurate magnetic ordering;

Facility: ENE, SLS, LMX, Thin Films and Interfaces

Reference: Y. W. Windsor, S. W. Huang, Y. Hu, L. Rettig, A. Alberca, K. Shimamoto, V. Scagnoli, T. Lippert, C. W. Schneider, and U. Staub, Phys. Rev. Lett. 113, 167202 (2014)

Read full article: here