News & Scientific Highlights

recrystallization_ebsd_teaser

Observing laser-induced recrystallization

Synchrotron X-ray diffraction sheds  light on laser-induced local recrystallization .

Excitons coupling to octahedral tilts in Pb nano-perovskites

Excitons coupling to octahedral tilts in Pb nano-perovskites

Excitons coupling to octahedral tilts in Pb nano-perovskites

Tv=60K scale on magnetization

Crystal field rules heavy fermion delocalization in SmCoIn5

Crystal field rules heavy fermion delocalization

Energy Storage Materials 2023

"Core-shell" cathodes for high performance Li-ion batteries

“Li-rich Ni-rich” core-shell particles are engineered as layered cathode materials for high energy Li-Ion batteries, including a controllable outer "Li-rich Mn-rich" shell improving cyclability.

hybrid perovskites

Mechanochromism of layered perovskites

The mechanochromism of hybrid 2D perovskites is probed at pressures compatible with practical applications

teaser

Direct mechanochemical synthesis of polyoxometalates

Polyoxomolybdates have been directly synthesized from basic reagents in a mechanochemical one-pot reaction.

Pyrophosphate charge/discharge

Enhanced Stability of a Pyrophosphate cathode for Na-ion batteries

The structural changes of Na3.32Fe2.11Ca0.23(P2O7)2 during several charge discharge cycles is viewed by its powder pattern and selected cell parameter evolution.

u1x

X-rays illuminate the particle atomic structure of cyan light emitting 6-monolayers CsPbBr3 nanoplatelets by Total Scattering

A cyan light (492 nm) emitting colloidal suspension of CsPbBr3 nanoplatelets in a flask, together with the high-quality XRPD Total Scattering pattern of the suspension measured at the X04SA-MS beamline and the full-nanoparticle structure thereby inferred.

teai

An iodine polymeric chain with tunable conductivity

The progressive hydrostatic compression of I2 and I3- units in an organic salt lead to a homoatomic polymeric chain. As the I---I distance collapses the covalent character of the interaction becomes more relevant, leading to a pressure-tunable increased conductivity.

2019 HERCULES.png

HERCULES school 2019 at SLS

In the week of April 1-5 PSI welcomes 20 PhD students and postdocs taking part in the European HERCULES 2019 school on Neutron and Synchrotron Radiation. They will attend lectures and perform two days of practical courses at several beam lines of the Swiss Light Source.

AM Kenel.png

Additive Manufacturing of High Entropy Alloys

Additive manufacturing of high-entropy alloys combines the mechanical properties of this novel family of alloys with the geometrical freedom and complexity required by modern designs. An approach to additive manufacturing of high-entropy alloys has been developed based on 3D extrusion of inks containing a blend of oxide nanopowders (Co3O4 + Cr2O3 + Fe2O3 + NiO), followed by co-reduction to metals, inter-diffusion and sintering to near-full density CoCrFeNi in H2. A complex phase evolution path is observed by in-situ X-ray diffraction in extruded filaments: the oxide phases undergo reduction and the resulting metals inter-diffuse, ultimately forming the desired fcc-CoCrFeNi alloy (see figure). Linked to this phase evolution is a complex micro-structural one, from loosely packed oxide particles to fully-annealed, metallic CoCrFeNi with 99.6 ± 0.1% relative density. CoCrFeNi micro-lattices are created with strut diameters as low as 100 μm and excellent mechanical properties at ambient and cryogenic temperatures.

Figure 1 (a) Transient relative x-ray intensity of the (1.5 0.5 0.5) superlattice reflection of Sr0.97Ca0.03TiO3 upon above bandgap excitation with 40 fs pulses Inset: STO crystal structure as seen along the c-axis. phi measures the antiferrodistortive rotation of the oxygen octahedra (exaggerated) and represents the order parameter. (b) Calculated energy change per STO cubic unit cell as a function of oxygen displacement u/u0 along the in-plane cubic crystal axes resulting from the octahedral rotation at …

Moving Atoms by Photodoping

Understanding how and how fast we can drive atoms to create a structural phase transition is of fundamental interest as it directly relates to many processes in nature. Here we show that a photoexcitation can drive a purely structural phase transition before the energy is relaxed in the material that corresponds to a “warmer” equilibrated state.

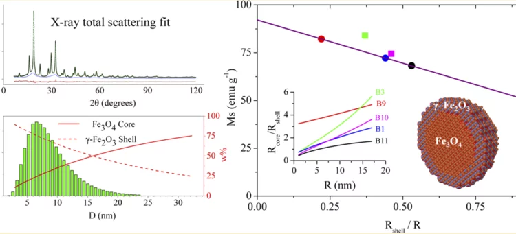
Figure: Left top, one of the XRPD measured patterns and the corresponding fit. Left bottom, the fitted size distribution (green bars) with the maghemite (shell) and magnetite (core) weight fractions as a function of diameter. Right, the corresponding saturation magnetization as a function of shell relative thickness for samples with the same average diameter. Inset, a sketch of a core-shell nanoparticle as modeled.

Correlating the Core-Shell Composition and the Surface Structure to the Magnetic Properties for Magnetite-Maghemite Nanoparticles in the 5-15 nm Range

Very small superparamagnetic iron oxide nanoparticles were characterized by innovative synchrotron X-ray total scattering methods and Debye function analysis, developed at the X04SA Materials Science beamline of SLS.