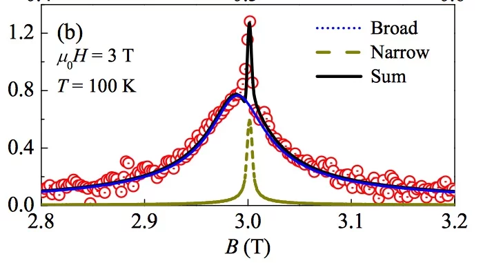
EuTiO3, which is a G-type antiferromagnet below TN = 5.5 K, has some fascinating properties at high temperatures, suggesting that macroscopically hidden dynamically fluctuating weak magnetism exists at high temperatures. This conjecture is substantiated by magnetic field dependent magnetization measurements, which exhibit pronounced anomalies below 200 K becoming more distinctive with increasing magnetic field strength. Additional results from muon spin rotation experiments provide evidence for weak fluctuating bulk magnetism induced by spin-lattice coupling which is strongly supported in increasing magnetic field.
Facility: SμS
Reference: Z. Guguchia et al, Physical Review B 90, 064413 (2014)
Read full article: here
Reference: Z. Guguchia et al, Physical Review B 90, 064413 (2014)
Read full article: here