Reentrant multiple-q magnetic order and a “spin meta-cholesteric” phase in Sr3Fe2O7

Topologically nontrivial magnetic structures such as skyrmion lattices are well known in materials lacking lattice inversion symmetry, where antisymmetric exchange interactions are allowed. Only recently, topological multi-q magnetic textures that spontaneously break the chiral symmetry, for example, three-dimensional hedgehog lattices, were discovered in centrosymmetric compounds, where they are instead driven by frustrated interactions. 

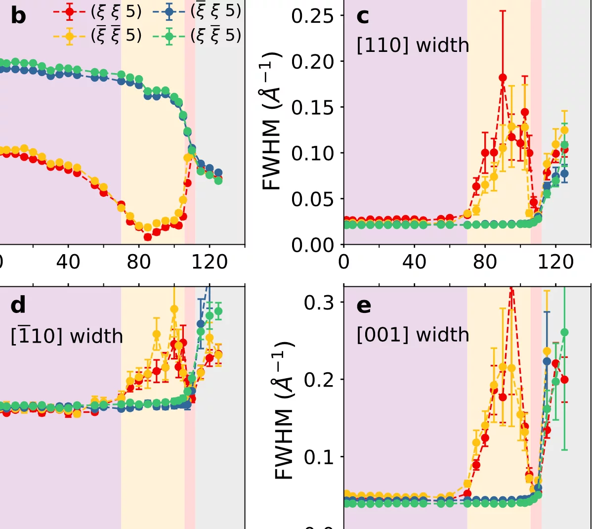
Here we show that the bilayer perovskite Sr3Fe2O7, previously believed to adopt a simple single-q spin-helical order, hosts two distinct types of multi-q spin textures. Its ground state represents a novel multi-q spin texture with unequally intense spin modulations at the two ordering vectors. This is followed in temperature by a new “spin meta- cholesteric” phase, in which the chiral symmetry is spontaneously broken along one of the crystal directions, but the weaker orthogonal modulation melts, giving rise to intense short-range dynamical fluctuations. Shortly before the transition to the paramagnetic state, vortex-crystal order spanned by two equivalent q vectors emerges. This renders Sr3Fe2O7 an ideal material to study transitions among multiple-q spin textures in a centrosymmetric host.

Facility: SINQ

Reference: N.D. Andriushin, npj quantum materials 9,  84 (2024)

Read full article: here