Structural and magnetic dynamics of a first order phase transition

We use time-resolved x-ray diffraction and magneto-optical Kerr effect to study the laser-induced antiferromagnetic to ferromagnetic phase transition in FeRh. 

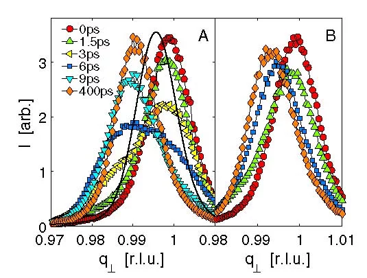
The structural response is given by the nucleation of independent ferromagnetic domains (t ~ 30 ps). This is significantly faster than the magnetic response (t ~ 60 ps) given by the subsequent domain realignment. X-ray diffraction shows that the two phases coexist on short time scales and that the phase transition is limited by the speed of sound. A nucleation model describing both the structural and magnetic dynamics is presented.

Original Publication

Structural and Magnetic Dynamics of a Laser Induced Phase Transition in FeRh 
S. O. Mariager, F. Pressacco, G. Ingold, A. Caviezel, E. Möhr-Vorobeva, P. Beaud, S. L. Johnson, C. J. Milne, E. Mancini, S. Moyerman, E. E. Fullerton, R. Feidenhans’l, C. H. Back, and C. Quitmann 
Physical Review Letters 108, 21 February 2012 
DOI: 10.1103/PhysRevLett.108.087201 

Read also our press release.