Nanoscale depth resolution of lattice dynamics

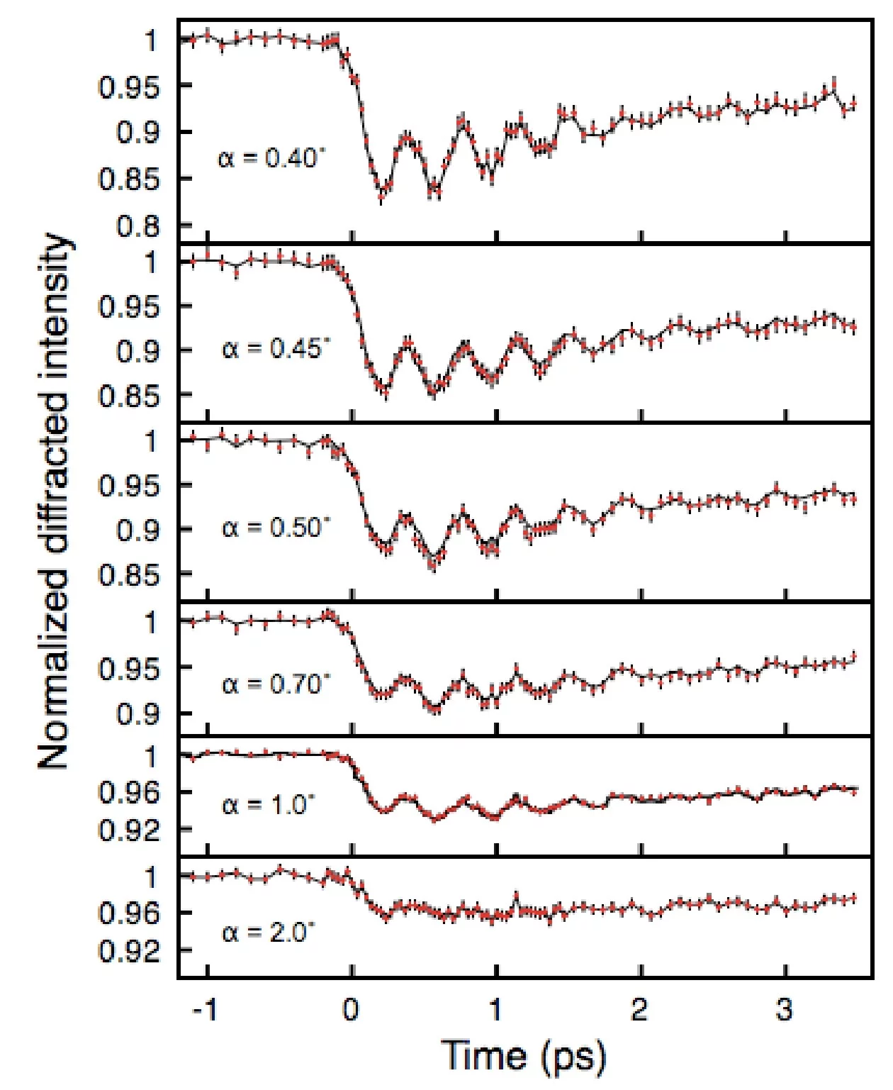
We employ grazing-incidence femtosecond x-ray diffraction to characterize the coherent, femtosecond laser-induced lattice motion of a bismuth crystal as a function of depth from the surface with a temporal resolution of ~200 fs. The data show direct consequences on the lattice motion from carrier diffusion and electron-hole interaction, allowing us to estimate the effective diffusion rate for the highly excited carriers and the electron-hole interaction time.

Original Publication

Nanoscale Depth-Resolved Coherent Femtosecond Motion in Laser-Excited Bismuth 
S. L. Johnson, P. Beaud, C. J. Milne, F. S. Krasniqi, E. S. Zijlstra, M. E. Garcia, M. Kaiser, D. Grolimund, R. Abela, and G. Ingold 
Physical Review Letters 100, 18 April 18 2008 
DOI: 10.1103/PhysRevLett.100.155501