Correlating the Core-Shell Composition and the Surface Structure to the Magnetic Properties for Magnetite-Maghemite Nanoparticles in the 5-15 nm Range

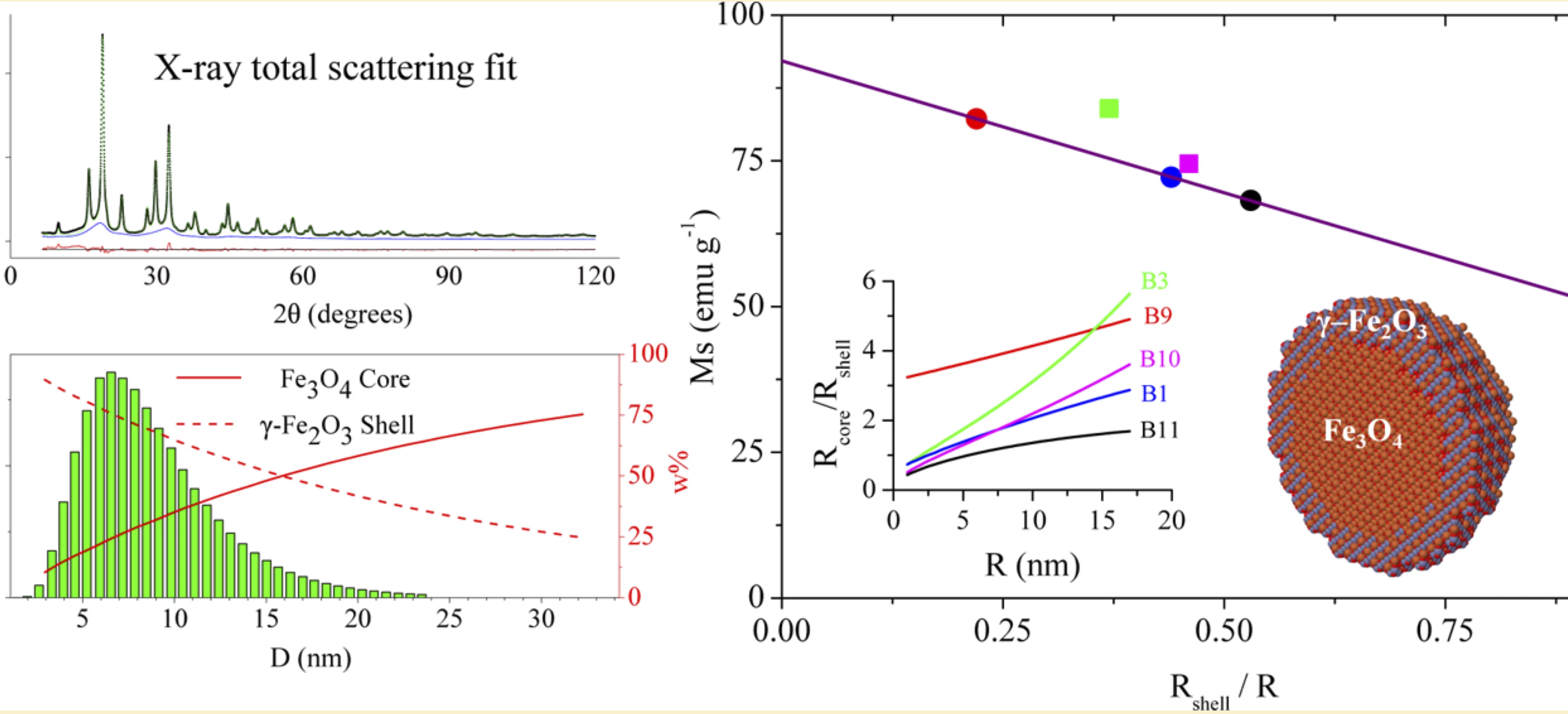
Figure: Left top, one of the XRPD measured patterns and the corresponding fit. Left bottom, the fitted size distribution (green bars) with the maghemite (shell) and magnetite (core) weight fractions as a function of diameter. Right, the corresponding saturation magnetization as a function of shell relative thickness for samples with the same average diameter. Inset, a sketch of a core-shell nanoparticle as modeled.

Very small superparamagnetic iron oxide nanoparticles were characterized by innovative synchrotron X-ray total scattering methods and Debye function analysis, developed at the X04SA Materials Science beamline of SLS. Using the information from both Bragg and diffuse scattering, size-dependent core-shell magnetite-maghemite compositions and full size (number- and mass-based) distributions were derived within a coherent approach. The magnetite core radii in 10 nm sized NPs well match the magnetic domain sizes and show a clear correlation to the saturation magnetization values, while the oxidized shells seem to be magnetically silent. Very broad superstructure peaks likely produced by the polycrystalline nature of the surface layers were experimentally detected in room temperature oxidized samples. Effective magnetic anisotropy constants, derived by taking the knowledge of the full size- distributions into account, show an inverse dependence on the NPs size, witnessing a major surface contribution. Finally, an additional amorphous component was uncovered within the diffuse scattering of the ordered magnetite-maghemite NPs. Under the hypothesis that this material may form an external dead layer, an additional thickness varying between 0.3 and 1.0 nm should be added to the overall core!shell NPs size.

Original Publication
Magnetite-Maghemite Nanoparticles in the 5-15 nm Range: Correlating the Core-Shell Composition and the Surface Structure to the Magnetic Properties. A Total Scattering Study.
R. Frison, G. Cernuto, A. Cervellino, O. Zaharko, G. M. Colonna, A. Guagliardi, and N. Masciocchi
Chem. Mater., 2013, 25 (23), pp 4820-4827 (Publication Date (Web): November 18, 2013), DOI: 10.1021/cm403360f
Contact
Dr Antonio Cervellino
Laboratory for Synchrotron Radiation - Condensed Matter Physics
Paul Scherrer Institute, 5232 Villigen, Switzerland
Telephone: +41 56 310 - 4611, email: antonio.cervellino@psi.ch