Swissnuclear
Duration: 2026 – 2027
Contact: Nikolaos Prasianakis
ECHT – BWR: Effect of CRUD on Heat Transfer for BWR
The project focuses on the microstructural characterisation and heat transfer modelling of CRUD formed in BWR. The experimental characterisation conducted by LNM aims at characterising the microstructure of CRUD samples extracted from KKL BWR fuel rods using AHL facilities, specifically the shielded Focused Ion Beam (FIB) and Electron Probe Microanalysis (EPMA). The modelling (LES) will investigate conjugate heat transfer processes (solid/fluid) involving the effect of CRUD microstructure at different stages of formation and boiling phenomena. The experimental studies will provide microstructural information on porosity and mineralogy of CRUD which will be used to construct the computational domain.
The formation of CRUD on the cladding surfaces in LWR directly influences the heat transfer from the fuel rod to the reactor water, as well as the flow properties at the rod surface. These factors affect nucleate boiling and can pose possible safety risks, such as dry-out and boiling crisis. The proposed research will map the chemical makeup of BWR CRUD and enhance the understanding of the induced change in the thermal behaviour of the fuel rod cladding contributing to improved reactor safety analysis.
The study will employ advanced experimental characterisation techniques and state of the art modelling to shed light on the heat transfer process through CRUD formed in BWR, considering CRUD data from the Kernkraftwerk Leibstadt (KKL) Nuclear Power Plant (NPP).
BRIDGE: Bridging Full-Assembly coarse CFD with Detailed Boiling Flow Simulation
In this project, we will develop interface-resolving boiling flow simulation schemes—specifically an Interface Tracking Method (ITM) and Lattice-Boltzmann Method (LBM)—using boundary and initial conditions calculated from a full Fuel Assembly (FA) simulation. An Eulerian Computational Fluid Dynamics (CFD) approach for full FA simulations is currently being developed within the BRAVA project (2024–2025). An example result from this FA simulation, which shows good agreement with the SIRIUS-3D experiment, is presented in Figure 1a (the spacer grids are planned to be included by the end of BRAVA).While the full FA simulation can predict the overall boiling flow field, it does not resolve the detailed boiling phenomena, as the liquid-vapor interface is not explicitly captured and only time-averaged void distributions are computed. To accurately simulate localized phenomena around a spacer grid, such as interfacial dynamics and phase change processes, interface-resolving methods like ITM and LBM are required. However, due to computational constraints, ITM and LBM can only be applied to a limited region of the FA. Thus, boundary conditions for these localized simulations will be extracted from the full FA simulation as illustrated in Figure 1d. The distributions of void fraction and bubble fraction for bubbles with diameters of 4–5 mm are shown as examples of inlet boundary conditions for ITM and LBM in Figure 1b and c, respectively. Since the Eulerian approach employs a population balance model, bubble diameter data can also be utilized to initialize the input for both ITM and LBM. Through this approach, we aim to develop a simulation framework capable of capturing both global and localized boiling phenomena.
The project consists of four work packages (WPs): in WP 1, the data transfer procedure from the entire FA simulation result to ITM and LBM will be developed. The ITM and LBM codes will be further developed in WPs 2 and 3, respectively. WP4 is dedicated to the further development of ITM to enhance its simulation capabilities, such as improving numerical stability and accuracy in complex boiling flow conditions.
WP 1: Full FA simulations and data extraction for ITM and LBM (Co-led by LES and LSM)
By the end of the BRAVA project, a full Fuel Assembly (FA) simulation is planned, using a spacer grid geometry obtained through reverse engineering. For this project, due to inherent uncertainties in the reconstructed geometry, we will conduct additional full FA simulations using the Eulerian approach with different spacer grid geometries. This task will be carried out by a Ph.D. student as part of WP1.
Simultaneously, we will develop a data extraction procedure to transfer results from the Eulerian full FA simulations to the ITM and LBM. The extracted Eulerian results—including volume fraction,
temperature, velocity, pressure, and turbulence data—will serve as initial and boundary conditions for the ITM and LBM simulations in WP2 and WP3. The Eulerian results are computed on a coarse mesh and employ two sets of velocity and temperature fields for the liquid and vapor phases. In contrast, ITM and LBM use finer meshes and a single set of velocity and temperature fields. Consequently, spatial interpolation and phase merging are necessary to transform the two-phase Eulerian data into a unified representation suitable for ITM and LBM simulations. This interpolation ensures that phase distribution, velocity continuity, and turbulence characteristics are preserved, which provides consistent boundary conditions for a detailed one-fluid simulation that can resolve fine interfacial phenomena in boiling flows around a spacer. Furthermore, due to methodological differences—ITM employs the finite volume method, whereas LBM operates on a kinetic lattice structure—the interpolation procedures for these methods may differ and will be designed accordingly
European Joint Research Programme in the management and disposal of radioactive waste - Eurad 2
Duration: 2024 – 2029
In this project, LES has been working on the development of a model-based digital twin for the evolution of cementitious waste packages under various scenarios for extended intermediate storage.
The project comprises overarching topics of Waste Management Policies, Predisposal, Engineered Barrier System (EBS), Geoscience, Optimisation, and Safety Case. Due to the political decision of the European Commission to exclude Switzerland from the Horizon research programme, Swiss research entities currently participate as associated partners with no funding provided by the EC. Instead, the participation of Swiss partners in the call is directly co-funded by the State Secretariat for Education, Research, and Innovation SERI.
LES participates in 15 individual work packages, in some of which LES takes a leading scientific role:
HERMES: High fidelity numerical simulations of coupled processes (WP Lead and Task Lead). Contact: Sergey Churakov
DITOCO2030: Next generation digital twins to support optimisation, construction and operation of surface and subsurface radioactive waste management facilities (Task Co-Lead). Contact: Nikolaos Prasianakis
DITUSC: Development and improvement of quality assured thermodynamic understanding for use in nuclear waste disposal safety case (Task-Lead). Contact person: Dan Miron
ASTRA: Alternatives radioactive waste management strategies (Task-Lead). Contact: Daniel Andrew Geddes
RAMPEC: Radionuclide mobility under perturbed conditions (Task-Lead). Contact: Yaana Bruneel
KM: Knowledge Management (Task Co-Lead). Contact: Sergey Churakov
ICARUS: Innovative characterisation techniques for large volumes (Contributor). Contact: Rainer Dähn
STREAM: Sustainable treatment and immobilisation for challenging waste (Contributor). Contact: John Provis
L’OPERA: Long-term performance of waste matrices (Contributor). Contact: John Provis
SAREC: Release of safety relevant radionuclides from spent nuclear fuel under deep disposal conditions (Contributor). Contact: Nikolaos Prasianakis
InCoManD: Innovative and new container/canister materials under disposal fields conditions: manufacturing feasibility and improved durability (Contributor). Contact: Rainer Dähn
ANCHORS: Hydraulic mechanical chemical evolution of bentonite for barriers optimisation (Contributor). Contact: Luca Urpi
OPTI: HLW repository optimisation including closure (Contributor). Contact: Georg Kosakowski
SUDOKU: Near-surface disposal optimisation based on knowledge and understanding (Contributor). Contact: Georg Kosakowski
ICONIC - Identifying and Controlling Interfaces in Concrete
Contact persons: John Provis, john.provis@psi.ch
Duration: 01.09.2025 – 31.08.2030
The world produces more than 10 billion tonnes of concrete per year, contributing more than 8% of global Greenhouse gas emissions, yet the fundamental science of its setting, hardening and durability is to a large degree unknown. ICONIC will build a new conceptual model of concrete, viewing this essential infrastructure material in terms of the interfaces between its constituent parts. This is a critical, revolutionary step forward in the way we understand, analyse and design concretes, moving away from the traditional view of concrete as just being controlled by the characteristics of its constituent particles (cement hydration products, residual cement grains, fillers, aggregates, and reinforcing elements). By instead viewing its microscopic and macroscopic behaviour as the result of the interactions between those particles, mediated by the water present and the ions which are dissolved in it, the true nature of the adhesion phenomena which enable cement to form a solid, strong monolith will be identified at an unprecedented level of detail. Molecular-scale and mesoscale phenomena will be probed experimentally using a combination of laboratory and beamline-based analytical tools, and the results will be integrated with advanced theoretical treatments of interfacial processes in complex aqueous environments. ICONIC will focus on cements with a greatly reduced environmental footprint compared to plain Portland cement: high-volume blended cements and Portland-free alkali-activated cementing systems; and will interrogate the pore networks, drying, and alkali-aggregate reaction processes (which can lead to cracking and premature failure) that are currently causing difficulty in the introduction of these more sustainable materials. By re-conceptualising concretes through the lens of interfacial analysis, drawing knowledge from diverse fields of science to understand this most important engineering material, ICONIC will advance both the theory and practice of construction materials science, using scientific excellence to improve infrastructure provision (and thus global living conditions) and sustainability in the built environment.
https://data.snf.ch/grants/grant/225827
PRINCE: PRocesses at the INterface of iron and CEment
Contact persons: Sergey Churakov, sergey.churakov@psi.ch; Barbara Lothenbach, barbara.lothenbach@empa.ch; Nikolaos Prasianakis, nikolaos.prasianakis@psi.ch
Duration: 01.07.2024 – 30.06.2028
This project seeks to make a breakthrough in the fundamental understanding of the processes that occur at the interface between steel and a porous medium, in particular in a cementitious environment. These processes play important roles in civil, nuclear and underground engineering, where they generally become apparent at the macroscopic level in the form of corrosion-induced damage and are well-known to negatively impact safety, economy and environment (see below). At the fundamental level, however, the underlying processes are complex and still not fully understood. This is because the involved phenomena span from the nm to the meter length scale and involve various scientific disciplines (Fig. 1 & 2, main text), and because so far, no holistic, coordinated scientific approaches have been applied to study these phenomena fundamentally. Another reason for the incomplete understanding is the limitations of scientific methods until recently, e.g. limited time and space resolution of experimental characterization and quantification methods. The aim of this proposal is exactly to fundamentally address all the processes occurring at the steel-concrete interface in a comprehensive, collaborative approach, involving scientific methods from physics, chemistry, electrochemistry, corrosion science, and civil engineering, in particular, molecular simulations, spectroscopic analyses, thermodynamic modelling, reactive transport modelling, and porous media characterization. This approach is timely and urgent for different reasons. First, significant scientific progress was recently made in several of the mentioned disciplines, which opens up new opportunities to study the involved open questions. This includes advances in understanding electrochemical iron dissolution and the importance of the coupled processes occurring in the adjacent cementitious medium, progress in synchrotron-based spectroscopic analyses for the in situ quantification of phases, oxidation states of redox sensitive elements, etc., and progress in atomistic, thermodynamic, and reactive transport modelling. One may mention here that the applicants and their colleagues at host institutes have individually provided a significant contribution to these recent advances and are thus ideally positioned to conduct the proposed collaborative project. We seek to take advantage of these new scientific tools, in combination with well proven approaches, in order to shed light on all the relevant coupled processes, namely to elucidate 1) the kinetics of the electrochemical iron dissolution, which is coupled to 2) transport of ferrous and ferric ions in pore water solution through the liquid phase held within a porous medium, and the simultaneously occurring 3) chemical reactions (complexation, oxidation, …) and 4) interactions with solid phases (e.g. sorption in calcium silicate hydrates (C-S-H)) as well as 5) nucleation and precipitation of solids. A particular advantage of the proposed approach is that it does not only holistically consider the processes of different type (chemical, electrochemical, physical) that occur at different length scales, but also considers the interfaces and interrelations between these. There is an urgent need globally to reliably forecast the long-term performance of new construction materials with low environmental impact. This multidisciplinary project will boost the scientific progress needed to make the technological breakthrough and to address the socio-economic and environmental challenges, in particular to extend the service life of the reinforced concrete structures. In the European Union, for example, the direct costs related to corrosion of infrastructures are estimated at 250 billion EUR annually. Due to the considerable amount of greenhouse gases assigned to the construction sector, large-scale impact can potentially be made by scientific based improvement of technology.
Project: GEMS TM (Gibbs Energy Minimization Software for Thermodynamic Modelling)
Contact person: George-Dan Miron
Since the year 2000, GEMS has evolved into a cooperative R&D project aimed at creating a software collection of choice for computer-aided thermodynamic modeling of complex (geo)chemical systems. The goal of modeling with GEMS is to improve our understanding of chemical processes and systems by predicting their evolution at various TPbt conditions (T: temperature, P: pressure, b: bulk composition, t: time). GEMS has been used in many relevant research projects at LES related to radioactive waste disposal; in other laboratories at NES and at other departments of PSI, in other institutes of the ETH Domain, and in several universities worldwide (160 citations just since 2013). Many people switch to GEMS due to specific advantages after using other codes such as MINEQL or PHREEQC.
The numerical engine of GEMS - the GEMS3K code - can solve for equilibrium speciation in systems involving aqueous electrolyte; non-ideal gaseous fluids; non-ideal solid solutions; non-ideal (ionic) melts; adsorption, ion exchange; many pure phases (solid, liquid); and many metastable species or phases. Only with GEM method one can solve such complex equilibria of relevance for waste repositories, geothermal energy, reactive transport and geochemistry. At the same time, GEMS can solve for simple speciation in aquatic systems just as other codes like PHREEQC do. GEM needs thermodynamic data for all species in the system, not only logK of formation of product species from master species as the other codes need. Thus, GEMS can extract more results from the input data, such as redox states (Eh, pe) directly computed from the bulk elemental composition b.
The GEM-Selektor – a graphical user interface of GEMS3K - greatly facilitates definition of the system, input of composition recipes, computation of single equilibrium states or process simulations, viewing/exporting the results as tabulated data or plots, and managing the thermodynamic data. It is therefore an educational tool, at the same time providing the fast way to visualise thermodynamic problems and solutions. System definitions can be exported per mouse click into files for use in coupled codes such as the GEMSFITS code for input parameter optimization, and reactive-transport codes Comsol-GEM, OpenGeoSys-GEM and CSMP++GEM. The GEMS is distributed from http://gems.web.psi.ch as freemium, in part open-source software together with built-in PSI/Nagra and SUPCRT98 thermodynamic databases. Several third-party thermodynamic databases (e.g. Cemdata’14, HERACLES, Mines’16), maintained by their respective owners, are also available as plugins.
GEMS is attracting students and researchers: there is an interdisciplinary community formed around it (>4000 downloads and >300 active users worldwide). The GEMS Development Team currently involves 11 members from 6 institutions. This team strives to implement innovative concepts, modern algorithmic frameworks, and tools to improve thermodynamic data, all in order to ensure the state-of-the-art functionality of GEMS for the next decade.
Past LES Research Projects:
Swissnuclear Projects
Contact person: Nikolaos Prasianakis
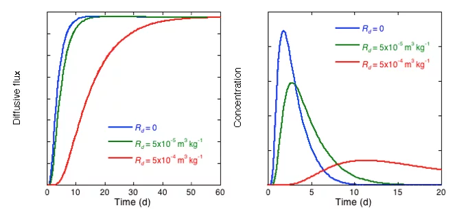
RESCUE: RESolving CrUd growth mEchanisms
Duration 2024-2025
The CRUD formation in BWR and PWR reactors has significant effects in both heat exchange efficiency, fuel performance and operational safety (e.g. induced power shifts and transmutation of cobalt isotopes). A qualitative conceptual model describing the CRUD formation and growth mechanisms has not been yet confirmed by direct numerical simulations, especially at the pore-scale level (~1μm), due to the complexity of the coupled processes controlling the CRUD formation. In this project, we aim at combining advanced experimental characterization techniques, and state of the art modelling to shed light on the pore scale processes, which result in CRUD formation and growth.
The experimental program will provide chemical composition and porosity of CRUD at initial and final formation stage, which is necessary for the numerical simulations and model validations respectively. The completed dataset will include CRUD samples from various fuel rods. New samples will be characterized on a microscale level at the HOTLAB, using the shielded Focused Ion Beam (FIB) and Electron Probe Microanalysis (EPMA). The transition from the amorphous porous outer layer to the tighter crystalline inner layer (e.g. through Zn precipitation within the porous channels) would be of particular importance.
The theoretical study includes the coupling of the pore-scale boilCRUD Lattice-Boltzmann models developed with in the LSM-22_02 project for the simulation of boiling in presence of CRUD, with thermodynamics chemical speciation solver (GEMS and machine learning approach) to simulate dissolution/precipitation processes leading to the transformation of loose CRUD particle sediment into dense CRUD layers. This will allow to evaluate the chemical and thermo-hydraulic factors controlling the sequence of precipitates within the CRUD under reactor operating conditions, and to study the precipitation paths of different chemical species found in the water circuit.
BRAVA: Boiling flow in Realistic fuel Assemblies: modelling and Validation of Advanced CFD codes
Duration 2024-2025
CFD simulations for boiling flow in Fuel Assemblies (FAs), especially of the type used in Swiss NPPs, are required to detect potential problems. For this purpose, we have developed three CFD approaches: Interface Tracking Method (ITM), Lattice Boltzmann Method (LBM) and Eulerian Approach (EA). ITM (used in codes like PSI-BOIL and T-Flows) and LBM can calculate boiling phenomena rigorously by directly resolving the liquid-vapor interface, though the size of simulation domain is limited due to the high resolution needed. In contrast, EA can only predict void fraction averaged in space and time, yet it can handle the whole FA using readily accessible computer resources. The CTU-PSI model has been successfully developed within EA, but the validation is so far limited to DEBORA benchmark, boiling flows in a heated pipe.
In this project, we expand the benchmark simulations to validate our approaches. The benchmark test cases are flows in fuel bundles (2x2, 3x3) or FA (BFBT/PSBT) at operating condition of NPPs. To enhance the Eulerian model, a new population balance model will be integrated. Population balance models are based on statistical representation of the flow, lessening the need for computationally resolving each and every microbubble. This model will track the birth, growth and death rates of the bubbles as well as the liquid/vapor ratio. The parameterization of the full Eulerian model will be facilitated by machine learning techniques and sensitivity analysis. The developed codes will be used to model and validate a) whole FA using optimized model parameters, b)parts of the FA at high resolution.
BoilCRUD: Boiling flow simulation in fuel-assembly affected by CRUD
Duration: 2022-2023
We propose a project for the development of the computational simulation method, which can predict the detailed boiling flow and temperature in a Fuel Assembly (FA) taking into account the influence of CRUD deposited on the fuel rods. By using the proposed simulation method, the local flow velocity, void fraction, temperature and mass transfer rate can be computed, and localized issues such as local dry-out, local burn-out etc. can be predicted.
Boiling from/near CRUD will be analyzed by combining the Molecular Dynamics (MD) information, which will provide the CRUD layer crystallographic orientation dependent surface tension, and the Lattice Boltzmann (LB) method for multiphase simulations within the CRUD porous medium structure. This approach is scientifically unique; such detailed phenomena are usually modelled based on empirical correlations rather than solving the governing equations. Since the MD-LB simulation requires fine resolution and cannot be applied to the scale of FA, the microscopic scale results will be upscaled and use in the macroscopic Computational Fluid Dynamics (CFD) for the boiling flow simulation code incorporating the influence of CRUD by model. Here, the CFD approach is the interface-resolving scheme on unstructured grid, which can fully take into account the effect of spacer grid.
Compared to the state-of-the-art simulation done in USA [1], our approach is superior with respect to (i) directly simulating boiling taking into account the microscale structural and material heterogeneities of CRUD and (ii) resolving the liquid-vapor interface in CFD.
LOMIR: Long-Term Monitoring of C-14
Contact person: John Provis
Activated steel is the main source of 14C in a repository for low and short-lived intermediate level waste (L/ILW). In a deep geological repository 14C will be released from activated steel during anoxic steel corrosion and, according to current PA studies, is an important dose determining radionuclide. The chemical nature of the 14C species present in the cementitious near field is poorly known. The project comprises the development of a compound-specific 14C AMS technique to identify and quantify 14C containing organic compounds at very low concentrations and a corrosion experiment with activated steel under repository relevant conditions. The project is partially financed by swissnuclear and the EU FP7 project “CAST” (CArbon Source Term). The project is carried out in collaboration with PSI (Hot laboratory, Laboratory of Radiochemistry & Environment Chemistry at PSI/University of Bern, Switzerland) and external partners (Institute for Chemistry and Bioanalytics, University of Applied Sciences Northwestern Switzerland)
European Joint Research Programme in the management and disposal of radioactive waste Eurad
Duration: 2019-2024
LES/PSI is mandated by the State Secretariat for Education, Research, and Innovation to participate the Joint European Research Proposal COFUND-EJP (2019-2024) NFRP-2018-6: “European Joint Research Programme in the management and disposal of radioactive waste Eurad”. This project is a step changer in European collaboration towards safe Radioactive Waste Management (RWM), including disposal, through the development of a robust and sustained science, technology and knowledge management programme that supports timely implementation of RWM activities and serves to foster mutual understanding and trust between Joint Programme participants. This project is a joint venture of 52 mandated research institutions, waste management organisations and technical safety organisations focusing on the most urgent research issues of nuclear waste disposal in Europe.
The project includes seven research & development, three strategic studies and three knowledge management work packages.
Within the Eurad framework, LES participates (either lead or contribution) in six individual work packages (WP):
WP-ACED (Lead SCK CEN, BE): Assessment of chemical evolution of ILW and HLW disposal cells (Contact: G. Kosakowski georg.kosakowski@psi.ch; D. Miron dan.miron@psi.ch).
WP-CORI (Lead KIT, DE): Cement organics radionuclide interactions (Contact: J. Tits jan.tits@psi.ch).
WP-DONUT (Lead Brgm, FR): Modelling of process couplings and numerical tools applied to performance assessment (Contact: N. Prasianakis nikolaos.prasianakis@psi.ch).
WP-FUTURE (Lead PSI, CH): Fundamental understanding of radionuclide retention (Contact: S. Churakov sergey.churakov@psi.ch; M. Glaus martin.glaus@psi.ch; M. Marques maria.marques@psi.ch).
The project aims to obtain:
- Fundamental insights into the impact of chemical boundary conditions and the role of microstructures on radionuclide speciation and mobility in “real” clay rocks as well as crystalline rocks.
- Enhanced the quantitative and mechanistic understanding of the impact of (i) specific surface properties of materials (diffusive double layer, surface potential), (ii) the role of grain boundaries, (iii) the effect of water saturation, content and chemistry (pH, ionic strength) as well as (iv) the impact of pore size variability and heterogeneity on the mobility of chemical species.
- Refined understanding of the relation between fracture/ pore structures and transport as well as the feedback of mineral reactions (dissolution/precipitation, clogging) on pore structure and connectivity.
The project is closing knowledge gaps regarding sorption reversibility, uptake mechanisms (adsorption vs. incorporation, precipitation), sorption competition and surface diffusion which have not been addressed sufficiently in previous European projects (e.g. FUNMIG, SKIN).
The project provide fundamental understanding and thus reducing uncertainties of surface induced (heterogeneous) redox processes with regard to coupled sorption and electron transfer interface reactions governing the retention of redox-sensitive radionuclides at Fe(II)/Fe(III) bearing minerals surfaces – going beyond previous European projects (e.g. RECOSY).
WP-GAS (Lead ): Mechanistic understanding of gas transport in clay materials (Contact: S. Churakov sergey.churakov@psi.ch; N. Prasianakis nikolaos.prasianakis@psi.ch).
UMAN (Lead ISRN): Uncertainty management multi-actor network (Contact: W. Pfingsten wilfried.pfingsten@psi.ch).
PREDIS
Contact person: R. Dähn rainer.daehn@psi.ch; W. Pfingsten wilfried.pfingsten@psi.ch
Duration: 2020-2024
The PREDIS project develops and increases the Technological Readiness Level of treatment and conditioning methodologies for wastes for which no adequate or industrially mature solutions are currently available, including metallic materials, liquid organic waste and solid organic waste. PREDIS project also develops innovations in cemented waste handling and pre-disposal storage by testing and evaluating. The technical Work Packages align with priorities formulated within the Roadmap Theme 2 of EURAD (https://www.ejp-eurad.eu/). PREDIS will liaise with EURAD to provide complementarity on areas including the adaptation and update of the reference founding documents of the EJP (vision, roadmap, governance and implementation mechanisms), and the organisation of training courses and mobility training schemes to enhance sharing and transfer of knowledge and competences as part of knowledge management activities.
LES participated in the PREDIS-WP7 – Innovations in cemented waste handling and pre-disposal storage. Aim is to demonstrate the capability of geochemical and chemo-mechanical models to describe the chemical and mineralogical evolution of cemented waste packages and to demonstrate their suitability for disposal, and to develop, adapt and demonstrate digital twin technology, methods for data handling and an overall digitial decision framework.
Modern spent fuel dissolution and chemistry in failed container conditions (DISCO)
Contact person: Enzo Curti
Duration: 1.6.2017-31.5.2021
The EURATOM Project “DISCO” (modern spent fuel DISsolution and chemistry in failed COntainer conditions), carried out within the Horizon2020 framework program, is a collaborative effort among European partners aiming at increasing the knowledge on spent fuel dissolution under repository-relevant conditions (highly reducing conditions). Experimental work will focus on dissolution studies of so-called "modern" fuels, i.e. fuels doped with alumina/chromia or mixed oxide fuels. Both types of fuels are increasingly used in operating light water reactors in order to optimize energy harvesting. However, these fuels may potentially pose repository-related problems due to their different microstructure and the higher content of fission products, induced by the higher burnup compared to conventional UO2 fuels. The major objective of the project is to understand the dissolution behaviour of modern fuels in a water-flooded failed canister under anoxic repository conditions. Dissolution experiments on real spent fuel will be complemented by work on surrogate materials mimicking compositional and microstructural properties of the fuels, as well as by a series of dedicated modelling studies. PSI's contribution will be entirely on the theoretical side and consists of the following two major tasks:
(I) thermodynamic modelling of modern fuels under in-reactor conditions, taking into account the non-stoichiometry of (U,Pu)O2±x and mixing with other actinides and additives (alumina/chromia);
(II) thermodynamic modelling of secondary phase formation inside the failed canister, again with focus on solid solution formation.
Project: Diffusion in argillaceous rocks
Contact person: Martin Glaus
Schematic approach for laboratory measurements on sedimentary rock samples (sketch taken from Van Loon et al. Applied Geochemistry 159 (2023), 105843)
Within the framework of the 'Sectoral Plan (Sachplan) for Deep Geological Repositories', systematic diffusion measurements with differently charged and uncharged radiotracers were carried out on an extensive series of rock samples from Nagra's deep-drilling campaign at the potential siting areas in Northern Switzerland. These samples comprised representative sequences of Mesozoic sedimentary rock, including the Opalinus Clay and the under- and overlying Jurassic and Triassic formations. The study demonstrated very homogeneous diffusion properties of the different subunits in the Opalinus Clay and a slightly more heterogeneous picture in the rocks above and below, up to the nearest aquifers. Based on these data, a generic speciation-based model was developed to predict the diffusion behaviour of positively and negatively charged solution species depending on the total clay content as the main input variable. The model uses an electrical double layer (EDL) approach for the description of cation enrichment and concomitant anion depletion in the Donnan layer near the basal (planar) clay surfaces to describe the surface diffusion behaviour of cationic species and the anion-exclusion behaviour of anionic species, respectively. Diffusion databases for the dose-critical radioelements were thereby derived for all potential geochemical conditions encountered at the different siting areas. The combination of these databases with geostatistical information (borehole log data) allows the prediction of both best possible parameter values and the associated statistical uncertainties of mass transport properties of radioelements in performance assessment studies required as part of the General License application process for the deep geological disposal of radioactive waste.
Cebama
Cebama is a collaborative project funded by the European Commission under the Horizon 2020 Research and Training Program of the European Atomic Energy Community (EURATOM). This project addresses key scientific questions related to the use of cement-based materials in nuclear waste repositories including interface processes between cement-based materials and host rocks, retention of high priority radionuclides, and the development of models predicting changes in transport properties of cement-based materials. Within this project, LES carries out two different studies:
A structural and thermodynamic study on the intercalation of selenium(IV), selenium(-II), sulfur(-II) and iodine(-I) in hydrocalumite-type phases (AFm phases)
Contact persons: Latina Nedyalkova (PhD student), Jan Tits
Duration: 1.1.2016 - 31.12.2018
79Se and 129I are important dose determining radionuclides and their long-term behavior in a deep geological repository for low and short-lived intermediate level waste (L/ILW) is of major interest due to their long half-lifes and their potential mobility in the geosphere. However, such predictions on the mobility of these anions ignore their potential retardation by positively charged anion exchangers present in cementitious materials such as ettringite and hydrocalumite-like phases (AFm-phases). This study proposes an investigation of the immobilization of Se and I by AFm-phases under oxidizing and reducing conditions. In addition, the competitive effects of other anions such as CO32- and S2- on the immobilization of Se and I will be studied. Previous studies carried out at LES have shown that, under specific conditions, Se and I can become intercalated in the AFm interlayers. The present project consists of a systematic investigation of Se(IV), Se(-II), S(-II), and I(-I) intercalation in AFm phases. Thermodynamic models describing the intercalation of these anions in AFm phases will be developed based upon wet chemistry data and structural information from X-ray diffraction, Rietveld refinement and X-rax absorption spectroscopy.
Modelling transport across reactive interfaces
Contact persons: Leonardo Hax Damiani (PhD student), Georg Kosakowski
Duration: 1.1.2016 - 31.12.2018
Knowledge on the temporal and spatial evolution of alterations near interfaces between clay and cement based materials is important for the performance assessment of deep geological repositories for radioactive waste. All chemical reactions solely proceed if a stagnant or mobile aqueous phase is present in sufficient quantity. Chemical gradients, here in particular emanating from the strongly alkaline cementitious materials, dictate the reaction courses, and the principles of chemical thermodynamics determine the fundamental reaction products of the interactions. The goal of the sub-project is the development of improved 2D and 3D conceptual and numerical models that consider the influence of charged mineral surfaces on chemical and transport processes. The improved models will be tested and used by analyzing experiments on interactions of concrete with clays or other materials.
THEREDA (Thermodynamic Reference Database)
Contact person: Tres Thoenen
Duration: 1.10.2015 - 31.12.2020
On 1.10.2015 LES has become a partner of THEREDA (Thermodynamic Reference Database), a project organized and carried out by the most relevant research institutions in the field of radioactive and chemotoxic waste disposal in Germany (GRS Braunschweig, KIT-INE Karlsruhe, HZDR-IRE Dresden-Rossendorf, and TU-BAF Freiberg) and currently financed by the Federal Office for Radiation Protection (BfS). THEREDA was started in 2006 with the main objective to establish a comprehensive and internally consistent thermodynamic database for the geochemical modeling of processes occurring in the near- and far-field of the different hostrock formations under discussion in Germany for the long-term underground storage of radioactive waste. At that time, rock-salt formations were the only type of host rock considered and the main objective of THEREDA has been the critical evaluation and provision of data which support the calculation of solubilities in highly-saline aqueous solutions. Thus, standard thermodynamic data selected in THEREDA are consistent with Pitzer ion interaction coefficients. The internal data structure of THEREDA is designed to be quite general, so that an extension of the database for other potential types of host rocks requiring other types of ion interaction parameters (e.g. SIT, or Debye-Hückel) is possible.
In the framework of THEREDA, LES is responsible for the thermodynamic data related with cementitious systems.
Project: Traphiccs (Transport phenomena in compacted clay systems)
Contact person: Martin Glaus
The Traphiccs project addresses fundamental questions related to the transport of charged species in charged clay minerals. It is known that effective diffusion coefficients for such media cannot be directly derived from bulk water diffusion coefficients. Rather it has been observed that diffusive fluxes of anions are lower and those of certain cations, particularly those of the alkali and earth alkali series, higher than expected from such a simple model. While the diffusion of more strongly sorbing elements in compacted clay minerals has been measured since a couple of decades, the interpretation of these results is based on apparent diffusion coefficients only. These quantities lump together transport properties (effective diffusion coefficients) and sorption properties (sorption distribution values). Various experimental techniques were developed at LES in order to obtain separate information on these parameters. This allows for giving an indiscriminate answer to the question of whether sorption measurements on disperse clay suspensions give the same results as measurements on intact rock or compacted clay samples.
Project: Catclay
Contact persons: Luc Van Loon, Martin Glaus
Catclay is a 7th framework EU research project specifically dedicated to the question of whether the diffusion rates of metal cations from the transition metal or the lanthanide series in compacted clay minerals and clay rocks may be enhanced by surface phenomena. LES contributes to this project by diffusion measurements with radiotracers in which the typical problems related to sample confinement and ambiguities in the conceptual description of the results were avoided. Appropriate diffusion cells for confining compacted illite or Opalinus Clay samples were constructed. The results obtained so far indicate that the diffusive rates measured e.g. for Co(II) and Zn(II) are actually larger than expected from a simple pore diffusion model based in which the effective diffusion coefficients are derived from diffusion coefficients valid for bulk water.
Project: COTHERM
Contact person: Dmitrii Kulik
The SNF Sinergia COTHERM project (COmbined hydrological, geochemical and geophysical modeling of geotTHERMal systems) aims at a better understanding of the subsurface processes in natural high-temperature hydrothermal systems that are an attractive alternative energy resource. The project started on September 1'st 2012 and will finish by the end of 2015. Using the examples of two different geothermal systems in Iceland that have been drilled for geothermal energy exploitation, COTHERM pursues four interconnected sub-projects to advance our knowledge about these systems and to improve relevant geochemical and geophysical techniques: (1) Computer simulations to understand how strongly the water gets heated and how much hot water can flow through different rock types and in different geological Settings. (2) Computer-aided reactive-transport modelling of how fast the hot water can dissolve minerals from the rock and precipitate others, which may influence the hot water pathways. (3) Use of the rock properties and flow path predictions from sub-projects (1) and (2) to find out how geophysical methods could be used to probe the underground system structure without drilling. (4) Collect geochemical, mineralogical, and geophysical data to compare simulation results of sub-projects (1) to (3) with the actual data in order to refine, validate, and integrate different approaches. Our task (sub-project 2) in COTHERM consists in investigating and modelling basaltic rocks alteration upon hydrothermal fluid circulation, considering factors such as: fluid recharge composition, magmatic gas amount, primary rock mineralogy, and flow path geometry and temperature distribution. We are trying to constrain the kinetics of primary minerals dissolution and of secondary minerals precipitation, and to demonstrate the value of considering secondary minerals precipitation kinetics in reactive transport simulations using the in-house OpenGeoSys-GEMS coupled codes.
Thermodynamic and spectroscopic investigations of the Fe and S speciation in anoxic cementitious systems
PhD Project: Andrea Mancini
Supervisors: Dr. E. Wieland and Dr. R. Dähn (Paul Scherrer Institut, LES), Dr. B. Lothenbach (Empa), Prof. B. Wehrli (ETH Zürich)
The objective of this project is to gain a better understanding of the interaction of iron and cement and the long-term behaviour of cement paste under anoxic conditions. The adsorption of reduced iron and sulphur species on cement phases and the possible formation of solid solutions (solid solutions) will be investigated in laboratory studies and complemented by synchrotron-based spectroscopic in situ measurements of the iron and sulphur speciation in slag cements. The project is expected to generate new and important information about the interaction of iron and sulphur species with cement paste at the micro scale which helps in developing thermodynamic models for cementitious systems under anoxic conditions. These models are essential to assess more comprehensively the long-term stability of slag cements and the long-term development of cement as a barrier material in a deep geological repository for radioactive waste.
ThermAc
Contact persons: Dan Miron (Postdoc), Dmitrii Kulik, Tres Thoenen
Duration: 1.3.2015 - 30.04.2020
The Joint Project ThermAc aims at extending the chemical understanding and thermodynamic database of actinides, long-lived fission products and important matrix elements in aquatic systems at elevated temperatures. For this purpose, a systematic use of estimation methods for thermodynamic data missing at elevated temperatures, new experimental investigations of relevant aqueous species and solids, and quantum-chemistry based simulations are carried out. The project is funded by the German Federal Ministry for Education and Research and comprises the following partners: Karlsruhe Institute of Technology (KIT-INE), Helmholtz Zentrum Dresden Rossendorf (HZDR-IRE), University of Heidelberg, Gesellschaft für Anlagen- und Reaktorsicherheit (GRS Braunschweig), Jülich Research Center (FZJ-IEK-6), Technische Universität München, Amphos21 Barcelona, and Paul Scherrer Institut Villigen (PSI-LES).
Within this project, LES carries out two complementary investigations:
1) Systematic evaluation and application of isocoulombic reaction equilibria for extrapolation of equilibrium constants to higher temperatures
Thermodynamic data for actinides and long-lived fission products are generally only known from experiments at room temperature. Since it is not possible to extend the validity range of all relevant data within a reasonable timeframe by carrying out experiments at elevated temperatures, one has to resort to estimation methods. The isocoulombic estimation method has the potential to fill important gaps.
2) Software package integration for managing, estimating, fitting, and calculating thermodynamic data as a function of temperature (and pressure)
For an efficient evaluation and application of the isocoulombic estimation method, three existing, separate software packages developed by LES, namely PMATCHC (thermodynamic database management), GEMS-PSI (modelling of complex geochemical systems), and GEMSFITS (fitting and optimization of thermodynamic parameters) shall be integrated into a coherent framework, where PMATCH++ (a complete revision of PMATCHC, based on the graph-database paradigm) shall serve as a central distribution hub for thermodynamic data and shall support searching and manipulating substance- and reaction-data to generate a broad selection of alternative isocoulombic reactions.
Roloc (Retardation of low-molecular weight organic compounds in clay)
PhD Project: Yanhua Chen
Supervisors: Dr. M. Glaus, Dr. L. Van Loon, Dr. E. Wieland (Paul Scherrer Institut, LES) Dr. U. Mäder, Universität Bern
In this project potential mechanisms for the retardation of low-molecular weight organic compounds are investigated. The project is embedded in the general activities in LES to understand the fate of 14C compounds released from irradiated steel and to quantify their possible contribution to the overall dose in a safety assessment.
Anion Accessibility in Low Porosity Argillaceous rocks (ANPOR)
PhD Project: Cornelia Wigger
Supervisors: Dr. L. Van Loon, Dr. T. Gimmi (Paul Scherrer Institut, LES) Dr. U. Mäder, Universität Bern
The objective of this PhD project is to investigate the diffusive behaviour of anions in argillaceous rocks. Anions are known to be repulsed from the negatively charged surface of clay minerals. Due to this phenomenon, only a part of the pore space in argillaceous materials is accessible for anionic species. The extend of anion exclusion observed in several clay rocks lies around 50% of the total porosity. Because interlayer containing clay minerals are largely absent in argillaceous rocks, interlayers cannot be made responsible for this large anion exclusion as in the case of compacted bentonite. A plausible explanation for the observed phenomena in clay rocks maybe the fact that, due to the very high degree of compaction of clay rocks, the pores are so narrow that they behave as interlayers, i.e. an important part of the charged pores in clay rocks are interlayer equivalent pores (ILE) that are – in analogy to interlayer pores - not accessible for anions. The pores that are accessible for anions are not or only weakly charged.
Porosity and structural changes at cement/clay interfaces and their relation to transport properties
PhD Project: Amir Shafizadeh
Supervisors: Dr. Th. Gimmi, Dr. L. Van Loon, Dr. S. Churakov (Paul Scherrer Institut, LES), Dr. A. Kaestner and Dr. E. Lehmann (NIAG group-PSI), Dr. U. Mäder (University of Bern)
In the Swiss concept of geological repositories for radioactive waste, cement and concrete materials will come into direct contact with clay rocks. The geochemical gradients between clay and cement cause diffusive mass flux across the interface. These fluxes and consequent chemical changes in backfill materials need to be quantified in order to assess the long-term safety of the disposal sites. In this project the mineralogical and structural evolution (dissolution/precipitation of minerals, porosity changes) at the cement/clay interfaces are monitored by using different, complementary experimental techniques such as neutron tomography, radiography (at ICON facility, PSI) and measurement of transport parameters using through-diffusion tracer experiments
Experimental benchmarks for the verification and validation of reactive transport codes
PhD Project: Jenna Poonoosamy
Supervisors: Dr. G. Kosakowski, Dr. L. Van Loon (Paul Scherrer Institut, LES) Dr. U. Mäder (University of Bern)
The evolution of porosity due to mineral alteration processes and the associated change of transport parameters are of major concern for natural geological environments or engineered underground disposal systems. In numerical models, which calculate porosity changes from dissolution/precipitation of minerals, the temporal evolution of porosity is highly affected by reaction kinetics and numerical mesh refinement. In addition, such numerical models use empirical relations for linking porosity with transport properties (e.g. diffusivity and permeability). The numerical models need to be tested with experiments to confirm their predictions of geochemical migration affected by porosity changes. The aim of my PhD is to set up 1D and 2D reactive transport experiments in simple media, where clogging is fostered and its evolution with time can be easily assessed. These experiments are modeled with the reactive transport code OpenGeosys-GEM (OGS-GEM).
Project: FIRST Nuclides
Contact person: Enzo Curti
The EURATOM FP7 Project Fast / Instant Release of Safety Relevant Radionuclides from Spent Nuclear Fuel (FIRST Nuclides) is a collaborative effort among European partners with the objective of increasing the database and the mechanistic understanding on the fast released radionuclides (the so called Instant Release Fraction, IRF) from high burn-up UO2 spent nuclear fuel under geological disposal conditions. It started on January 1st, 2012 and will end officially on December 31th, 2014. The project provides for experiments, carried out in facilities specialised with handling highly radioactive materials, combined with modelling studies to integrate the different results and up-scale from laboratory to disposal conditions. PSI-LES is involved with two major tasks: (I) Evaluate the IRFs of 135Cs, 129I, 79Se and 14C based on in-house aqueous leaching experiments on UO2 spent fuel and cladding fragments from Swiss reactors (Leibstadt and Gösgen). (II) Study the chemical state of selenium (specifically its oxidation state) in high burnup UO2 spent fuel by X-ray spectroscopic techniques.