Crystal field rules heavy fermion delocalization in SmCoIn5

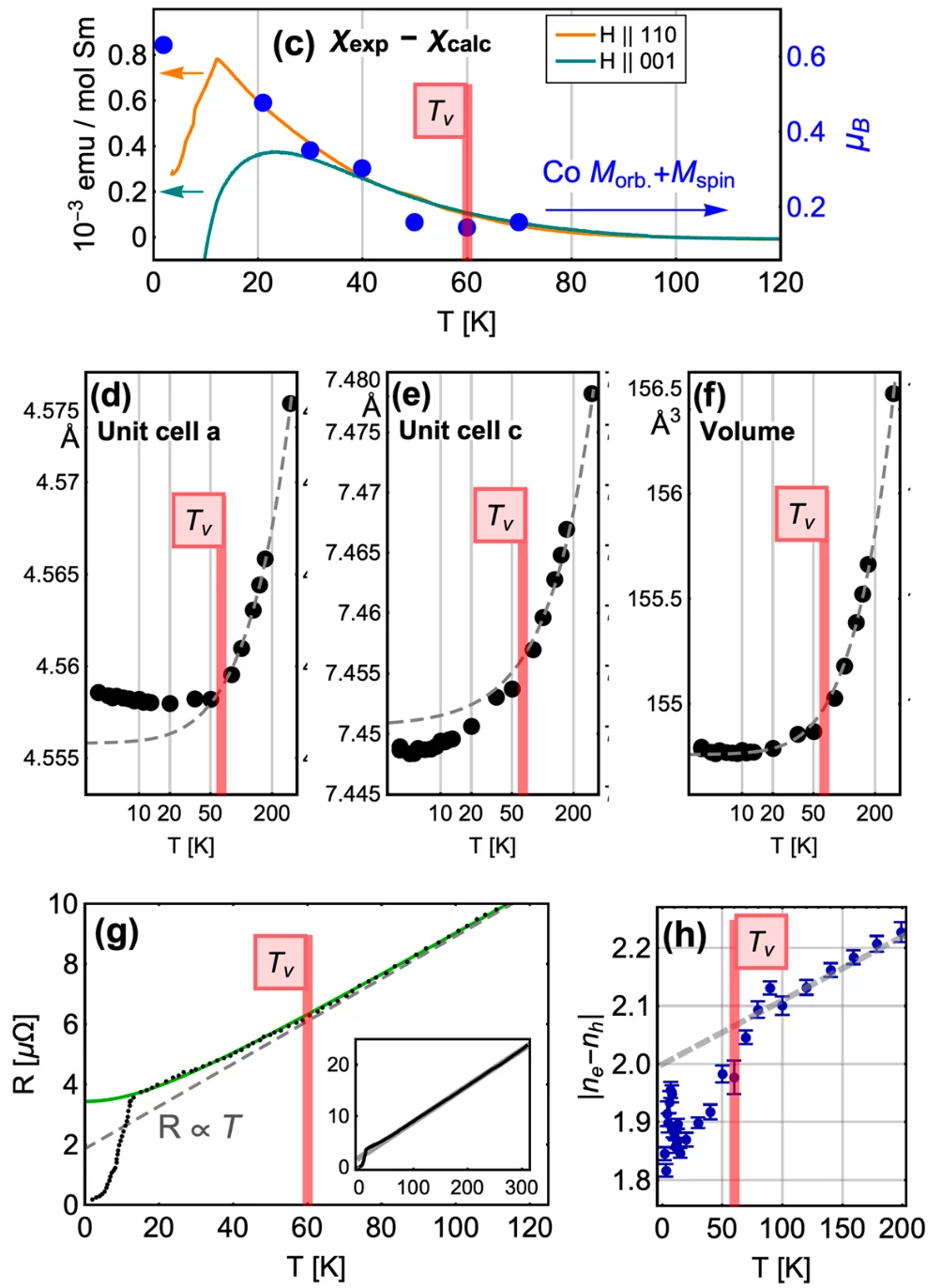
Upper panel: Difference between the experimentally observed magnetization and calculated magnetization for different field directions. Middle panel: Temperature dependence of the a and c lattice parameters, and corresponding hyperbolic fits to the high temperature data. The departure from the expected form occurs near Tv. Lower panel: DC electrical resistance showing a departure from linear behavior at Tv. The solid line shows a fit to a hyperbolic form. Inset: resistance continues in a linear fashion up to T = 300 K. h Net carrier density from Hall resistance measurements with current applied along the a axis direction and field along c. Error bars represent fitted errors.

The microscopic mechanism of heavy band formation, relevant for unconventional super- conductivity in CeCoIn5 and other Ce-based heavy fermion materials, depends strongly on the efficiency with which f electrons are delocalized from the rare earth sites and participate in a Kondo lattice. Replacing Ce3+ (4f1, J = 5/2) with Sm3+ (4f5, J = 5/2), we show that a combination of the crystal electric field and on-site Coulomb repulsion causes SmCoIn5 to exhibit a Γ7 ground state similar to CeCoIn5 with multiple f electrons. We show that with this single-ion ground state, SmCoIn5 exhibits a temperature-induced valence crossover consistent with a Kondo scenario, leading to increased delocalization of f holes below a temperature scale set by the crystal field, Tv ≈ 60 K. Our result provides evidence that in the case of many f electrons, the crystal field remains the dominant tuning knob in controlling the efficiency of delocalization near a heavy fermion quantum critical point, and additionally clarifies that charge fluctuations play a general role in the ground state of “115” materials.

Contact

Dr. Antonio Cervellino
Beamline Scientist
PSI, Laboratory for Condensed Matter in the Photon Science Division
Forschungsstrasse 111, 5232 Villigen PSI, Switzerland
Telephone: +41 56 310 4611
E-mail: antonio.cervellino@psi.ch

Original Publication

Charge fluctuations in the intermediate-valence ground state of SmCoIn5

D. W. Tam, N. Colonna, N. Kumar, C. Piamonteze, F. Alarab, V. N. Strocov, A. Cervellino, T. Fennell, D. J. Gawryluk, E. Pomjakushina, Y. Soh, and M. Kenzelmann

Comm. Phys. 2023, 6, 223

DOI: https://doi.org/10.1038/s42005-023-01339-1