Scientific Highlights 2012

Spectral and Thermodynamic Properties of a Strong-Leg Quantum Spin Ladder

The strong-leg S=1/2 Heisenberg spin ladder system (C7H10N)2CuBr4 is investigated using density matrix renormalization group calculations, inelastic neutron scattering, and bulk magnetothermodynamic measurements. Measurements showed qualitative differences compared to the strong-rung case. A long- lived two-triplon bound state is confirmed to persist across most of the Brillouin zone in a zero field. In applied fields, in the Tomonaga-Luttinger spin-liquid phase, elementary excitations are attractive, rather than repulsive.

Asymmetric Thermal Line Shape Broadening in a Gapped 3D Antiferromagnet: Evidence for Strong Correlations at Finite Temperature

It is widely believed that magnetic excitations become increasingly incoherent as the temperature is raised due to random collisions which limit their lifetime. This picture is based on spin-wave calculations for gapless magnets in 2 and 3 dimensions and is observed experimentally as a symmetric Lorentzian broadening in energy. Here, we investigate a three-dimensional dimer antiferromagnet and find un- expectedly that the broadening is asymmetric—indicating that far from thermal decoherence, the excitations behave collectively like a strongly correlated gas.

Spin Waves and Revised Crystal Structure of Honeycomb Iridate Na2IrO3

We report inelastic neutron scattering measurements on Na2IrO3, a candidate for the Kitaev spin model on the honeycomb lattice. We observe spin-wave excitations below 5 meV with a dispersion that can be accounted for by including substantial further-neighbor exchanges that stabilize zigzag magnetic order. The onset of long-range magnetic order below TN = 15.3 K is confirmed via the observation of oscillations in zero-field muon-spin rotation experiments.

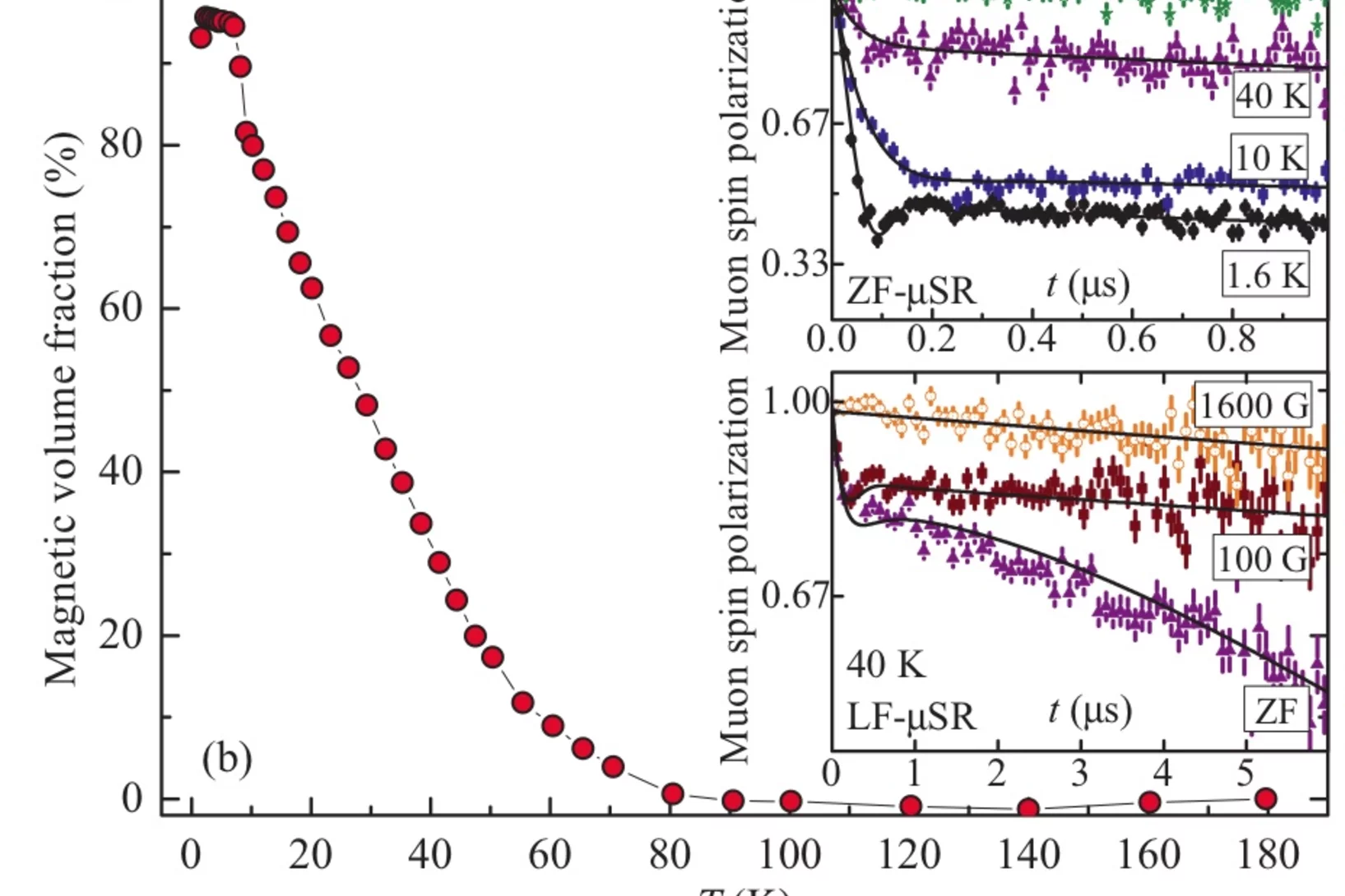
Ordering in weakly coupled random singlet spin chains

The influence of bond randomness on long-range magnetic ordering in the weakly coupled S = 1/2 antiferromagnetic spin chain materials Cu(py)2 (Cl1−xBrx)2 is studied by muon spin rotation and bulk measurements. Disorder is found to have a strong effect on the ordering temperature TN, and an even stronger one on the saturation magnetization m0, but considerably more so in the effectively lower-dimensional Br-rich materials.

Nature of Weak Magnetism in SrTiO3/LaAlO3 Multilayers

We report the observation of weak magnetism in superlattices of LaAlO3/SrTiO3 using β-detected nuclear magnetic resonance. The spin lattice relaxation rate of 8Li in superlattices with a spacer layers of 8 and 6 unit cells of LaAlO3 exhibits a strong peak near ∼ 35 K, whereas no such peak is observed in a superlattice with spacer layer thickness of 3 unit cells. We attribute the observed temperature dependence to slowing down of weakly coupled electronic moments at the LaAlO3/SrTiO3 interface.

Molecular magnets: Lord of the rings

Magnets built of molecular rings of magnetic ions are fundamental model systems for studying the complex correlations and dynamics of quantum spins at the atomic scale. A new generation of neutron spectrometers can reveal complete four-dimensional maps of the spin correlations in spin rings.

Persistent Spin Dynamics Intrinsic to Amplitude-Modulated Long-Range Magnetic Order

An incommensurate elliptical helical magnetic structure in the frustrated coupled-spin-chain system FeTe2O5Br is surprisingly found to persist down to 53(3) mK (T/TN ≈ 1/200), according to neutron scattering and muon spin relaxation. In this state, finite spin fluctuations at T → 0 are evidenced by muon depolarization, which is in agreement with specific-heat data indicating the presence of both gapless and gapped excitations.

Avoided Ferromagnetic Quantum Critical Point: Unusual Short-Range Ordered State in CeFePO

Cerium 4f electronic spin dynamics in single crystals of the heavy-fermion system CeFePO is studied by means of ac susceptibility, specific heat, and muon-spin relaxation (μSR). Short-range static magnetism occurs below the freezing temperature Tg ≈ 0.7  K, which prevents the system from accessing a putative ferromagnetic quantum critical point.

Anisotropic Cascade of Field-Induced Phase Transitions in the Frustrated Spin-Ladder System BiCu2PO6

BiCu2PO6 is a frustrated two-leg spin-ladder compound with a spin gap that can be closed with a magnetic field of approximately 20 T. This quantum phase transition and its related phase diagram as a function of magnetic field and temperature (H, T) are investigated up to 60 T by means of specific heat, magnetocaloric effect, magnetization, and magnetostriction measurements.

Kapellasite: A Kagome Quantum Spin Liquid with Competing Interactions

Magnetic susceptibility, NMR, muon spin relaxation, and inelastic neutron scattering measurements show that kapellasite, Cu3Zn(OH)6Cl2, a geometrically frustrated spin-1/2 kagome antiferromagnet polymorphic with herbertsmithite, is a gapless spin liquid showing unusual dynamic short-range correlations of noncoplanar cuboc2 type which persist down to 20 mK. The Hamiltonian is determined from a fit of a high-temperature series expansion to bulk susceptibility data and possesses competing exchange interactions.

On Demand: The Singular rht Net, an Ideal Blueprint for the Construction of a Metal–Organic Framework (MOF) Platform

The exceptional nature of the rht-MOF platform, based on a singular edge-transitive net (the only net for the combination of 3- and 24-connected nodes), makes it an ideal target in crystal chemistry. The high level of control indicates an unparalleled blueprint for isoreticular functional materials (without concern for interpenetration) for targeted applications.

Singlet Ground State of the Quantum Antiferromagnet Ba3CuSb2O9

We present local probe results on the honeycomb lattice antiferromagnet Ba3CuSb2O9. Muon spin relaxation measurements in a zero field down to 20 mK show unequivocally that there is a total absence of spin freezing in the ground state. Sb NMR measurements allow us to track the intrinsic susceptibility of the lattice, which shows a maximum at around 55 K and drops to zero in the low-temperature limit.

Tunable conductivity threshold at polar oxide interfaces

The physical mechanisms responsible for the formation of a two-dimensional electron gas at the interface between insulating SrTiO3 and LaAlO3 have remained a contentious subject since its discovery in 2004. Opinion is divided between an intrinsic mechanism involving the build-up of an internal electric potential due to the polar discontinuity at the interface between SrTiO3 and LaAlO3, and extrinsic mechanisms attributed to structural imperfections.

Spin excitations in a single La2CuO4 layer

Cuprates and other high-temperature superconductors consist of two-dimensional layers that are crucial to their properties. The dynamics of the quantum spins in these layers lie at the heart of the mystery of the cuprates. In bulk cuprates such as La2CuO4, the presence of a weak coupling between the two-dimensional layers stabilizes a three-dimensional magnetic order up to high temperatures. In a truly two-dimensional system however, thermal spin fluctuations melt long-range order at any finite temperature.

Depth-Dependent Spin Dynamics in Thin Films of TbPc2 Nanomagnets Explored by Low-Energy Implanted Muons

We present measurements of the magnetic properties of thin film TbPc2 single-molecule magnets evaporated on a gold substrate and compare them to those in bulk. Zero-field muon spin relaxation measurements were used to determine the molecular spin fluctuation rate of TbPc2 as a function of temperature. At low temperature, we find that the fluctuations in films are much faster than in bulk and depend strongly on the distance between the molecules and the Au substrate.

Power-Law Spin Correlations in the Pyrochlore Antiferromagnet Tb2Ti2O7

We investigate the low-temperature state of the rare-earth pyrochlore Tb2Ti2O7 using polarized neutron scattering. Tb2Ti2O7 is often described as an antiferromagnetic spin liquid with spin correlations extending over lengths comparable to individual tetrahedra of the pyrochlore lattice. We confirm this picture at 20 K but find that at 0.05 K the data contain evidence of pinch-point scattering, suggesting that the low temperature state of Tb2Ti2O7 has power-law spin correlations.

Vibrating-Coil Magnetometry of the Spin Liquid Properties of Tb2Ti2O7

We have explored the spin liquid state in Tb2Ti2O7 with vibrating-coil magnetometry down to ∼0.04  K under magnetic fields up to 5 T. We observe magnetic history dependence below T* ∼ 0.2 K reminiscent of the classical spin ice systems Ho2Ti2O7 and Dy2Ti2O7.

LiCe(BH4)3Cl, a New Lithium-Ion Conductor and Hydrogen Storage Material with Isolated Tetranuclear Anionic Clusters

Mechanochemical synthesis using CeCl3-MBH4 (M = Li, Na or K) mixtures are investigated and produced a new compound, LiCe(BH4)3Cl, which crystallizes in a cubic space group I43 m, a = 11.7204(2) Å. The structure contains isolated tetranuclear anionic clusters [Ce4Cl4(BH4)12]4− with a distorted cubane Ce4Cl4 core, charge-balanced by Li+ cations.

Distribution of soot particles in particulate filters of diesel vehicles seen for the first time

Nowadays, all diesel motor vehicles are fitted with a particulate filter as standard, as part of the Euro5 Emission Standard. These filters prevent the harmful soot and ash particles in exhaust gases from entering the environment. However, within the automotive industry, exactly how the soot particles are deposited inside these filters has not been known. Now, using a special imaging technique - Neutron Tomography - researchers at the Paul Scherrer Institute have made the soot inside filters visible, creating a foundation from which these filters can be optimised and developed further.

Nanoscale Layering of Antiferromagnetic and Superconducting Phases in Rb2Fe4Se5 Single Crystals

We studied phase separation in the single-crystalline antiferromagnetic superconductor Rb2Fe4Se5 (RFS) using a combination of scattering-type scanning near-field optical microscopy and low-energy muon spin rotation (LE-μSR). We demonstrate that the antiferromagnetic and superconducting phases segregate into nanometer-thick layers perpendicular to the iron-selenide planes, while the characteristic in-plane size of the metallic domains reaches 10 μm.

Magnetoelectric Coupling in Single Crystal Cu2OSeO3 Studied by a Novel Electron Spin Resonance Technique

The magnetoelectric (ME) coupling on spin-wave resonances in single-crystal Cu2OSeO3 was studied by a novel technique using electron spin resonance combined with electric field modulation. An external electric field E induces a magnetic field component μ0Hi = γ E along the applied magnetic field H with γ = 0.7(1) μT/(v/mm) at 10 K. The ME coupling strength γ is found to be temperature dependent and highly anisotropic.

Ferromagnetism and superconductivity in CeFeAs1−xPxO (0≤x≤40)

We report on superconductivity in CeFeAs1−xPxO and the possible coexistence with Ce ferromagnetism (FM) in a small homogeneity range around x=30% with ordering temperatures of TSC≅TC≅4 K. The antiferromagnetic (AFM) ordering temperature of Fe at this critical concentration is suppressed to TNFe≈40 K and does not shift to lower temperatures with a further increase of the P concentration.

Coexistence and Competition of the Short-Range Incommensurate Antiferromagnetic Order with the Superconducting State of BaFe2-xNixAs2

Superconductivity in the iron pnictides develops near antiferromagnetism, and the antiferromagnetic (AF) phase appears to overlap with the superconducting phase in some materials such as BaFe2-xNixAs2 (where T=Co or Ni). Here we use neutron scattering to demonstrate that genuine long-range AF order and superconductivity do not coexist in BBaFe2-xNixAs2 near optimal superconductivity. In addition, we find a first-order-like AF-to-superconductivity phase transition with no evidence for a magnetic quantum critical point.

Dipolar Antiferromagnetism and Quantum Criticality in LiErF4

Magnetism has been predicted to occur in systems in which dipolar interactions dominate exchange. We present neutron scattering, specific heat, and magnetic susceptibility data for LiErF4, establishing it as a model dipolar-coupled antiferromagnet with planar spin-anisotropy and a quantum phase transition in applied field Hc∥ = 4.0 ± 0.1 kilo-oersteds.

Slow order-parameter fluctuations in superconducting Pb and Ag/Nb films observed using β-detected nuclear magnetic resonance

We report β-NMR investigations of polarized 8Li implanted in thin Pb and Ag/Nb films. At the critical superconducting temperature, we observe a singular peak in the spin relaxation rate in small longitudinal magnetic fields, which is attributed to unexpected slow fluctuations in the superconducting order parameter. The peak is several orders of magnitude larger than the prediction based on the enhancement of the dynamic electron spin susceptibility by superconducting fluctuations.

Magnetic Proximity Effect in YBa2Cu3O7/La2/3Ca1/3MnO3 and YBa2Cu3O7/LaMnO3+δ Superlattices

Using neutron reflectometry and resonant x-ray techniques we studied the magnetic proximity effect (MPE) in superlattices composed of superconducting YBa2Cu3O7 and ferromagnetic-metallic La0.67Ca0.33MnO3 or ferromagnetic-insulating LaMnO3+δ. We find that the MPE strongly depends on the electronic state of the manganite layers, being pronounced for the ferromagnetic-metallic La0.67Ca0.33MnO3 and almost absent for ferromagnetic-insulating LaMnO3+δ.

Direct Observation of the Quantum Critical Point in Heavy Fermion CeRhSi3

We report on muon spin rotation studies of the noncentrosymmetric heavy fermion antiferromagnet CeRhSi3. A drastic and monotonic suppression of the internal fields, at the lowest measured temperature, was observed upon an increase of external pressure. Our data suggest that the ordered moments are gradually quenched with increasing pressure, in a manner different from the pressure dependence of the Neel temperature. At 23.6 kbar, the ordered magnetic moments are fully suppressed via a second-order phase transition, and TN is zero.

Spin density wave induced disordering of the vortex lattice in superconducting La2−xSrxCuO4

We use small-angle neutron scattering to study the superconducting vortex lattice in La2−xSrxCuO4 as a function of doping and magnetic field. We show that near optimally doping the vortex lattice coordination and the superconducting coherence length ξ are controlled by a Van Hove singularity crossing the Fermi level near the Brillouin zone boundary. The vortex lattice properties change dramatically as a spin-density-wave instability is approached upon underdoping.

Muonium Emission into Vacuum from Mesoporous Thin Films at Cryogenic Temperatures

We report on muonium (Mu) emission into vacuum following μ+ implantation in mesoporous thin SiO2 films. We obtain a yield of Mu into vacuum of (38±4)% at 250 K and (20±4)% at 100 K for 5 keV μ+ implantation energy. From the implantation energy dependence of the Mu vacuum yield we determine the Mu diffusion constants in these films: DMu250K=(1.6±0.1)x10-4  cm2/s and DMu100K=(4.2±0.5)x10-5  cm2/s.

Dimensionality Selection in a Molecule-Based Magnet

Gaining control of the building blocks of magnetic materials and thereby achieving particular characteristics will make possible the design and growth of bespoke magnetic devices. While progress in the synthesis of molecular materials, and especially coordination polymers, represents a significant step towards this goal, the ability to tune the magnetic interactions within a particular framework remains in its infancy.

Superconducting properties of single-crystalline AxFe2-ySe2 (A=Rb, K) studied using muon spin spectroscopy

We report on the superconducting properties of AxFe2-ySe2 (A=Rb, K) single crystals studied with the muon spin relaxation or rotation (μSR) technique. At low temperatures, close to 90% of the sample volumes exhibit large-moment magnetic order which impedes the investigation of their superconducting properties by μSR. On the other hand, about 10% of the sample volumes remain paramagnetic and clearly show a superconducting response.

Absolute value and temperature dependence of the magnetic penetration depth in Ba(Co0.074Fe0.926)2As2

The absolute value and temperature dependence of the in-plane magnetic penetration depth λ have been measured on a single crystal of Ba(Co0.074Fe0.926)2As2 using low-energy muon-spin rotation and microwave cavity perturbation. The magnetic field profiles in the Meissner state are consistent with a local London model beyond a depth of 15 nm. We determine the gap symmetry through measurements of the temperature dependence of the superfluid density which follows a two-gap s-wave model over the entire temperature range below Tc.

Vortex Lattice Studies in CeCoIn5 with H⊥c

We present small angle neutron scattering studies of the vortex lattice (VL) in CeCoIn5 with magnetic fields applied parallel (H) to the antinodal [100] and nodal [110] directions. For H || [100], a single VL orientation is observed, while a 90° reorientation transition is found for H || [110]. For both field orientations and VL configurations we find a distorted hexagonal VL with an anisotropy, Γ=2.0±0.05. The VL form factor shows strong Pauli paramagnetic effects similar to what have previously been reported for H || [001].

Coupling of Magnetic and Ferroelectric Hysteresis by a Multicomponent Magnetic Structure in Mn2GeO4

The olivine compound Mn2GeO4 is shown to feature both a ferroelectric polarization and a ferromagnetic magnetization that are directly coupled and point along the same direction. We show that a spin spiral generates ferroelectricity, and a canted commensurate order leads to weak ferromagnetism.

First-Order Reorientation Transition of the Flux-Line Lattice in CaAlSi

The flux-line lattice in CaAlSi has been studied by small-angle neutron scattering. A well-defined hexagonal flux-line lattice is seen just above Hc1 in an applied field of only 54 Oe. A 30° reorientation of this vortex lattice has been observed in a very low field of 200 Oe. This reorientation transition appears to be first-order and could be explained by nonlocal effects. The magnetic field dependence of the form factor is well-described by a single penetration depth of λ=1496(1)  Å and a single coherence length of ξ=307(1)  Å at 2 K.