SLS

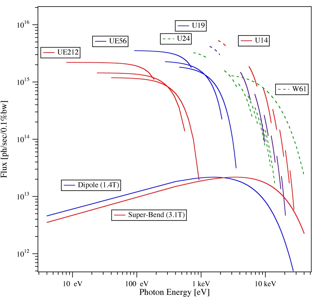
The SLS was in 2001 with its 2.4GeV electron energy the first medium energy storage ring facility which covered equally both the soft and the hard x-ray regime. For the soft x-ray all undulators provide variable polarization and up to 30keV short period, small gap in-vacuum undulators work on high harmonics. Brilliance and flux curves are shown below. 

Previous slide
Next slide

Not all undulators are plotted: in the soft x-ray only the electromagnetic, quasi-periodic UE212 is shown and the UE56 for the APPLE II undulators (UE56, UE54 and a fixed gap UE44). The working horses in the hard x-ray are 4 U19 undulators. The wiggler W61 has been replaced by a cryogenic U14 and the U24 was the first in-vacuum undulator in 2001, only added to show the improvements when going to shorter periods. Since 2011 the SLS is the first wiggler-free 3rd generation light source! Nonetheless, beamlines are served also from dipoles and three normal conducting super bends. In addition, one U19 is combined with a FEMTO slicing facility http://www.psi.ch/femto/ managed by our former group member Gerhard Ingold. 

SLS has three types of straight sections, short S with 4m length, medium M with 7m and long L with 11m length. The emittance is 5.5nmrad and the coupling is typically 0.2%. The relevant parameter of the undulatory in SLS can be found below. For more information please contact us.