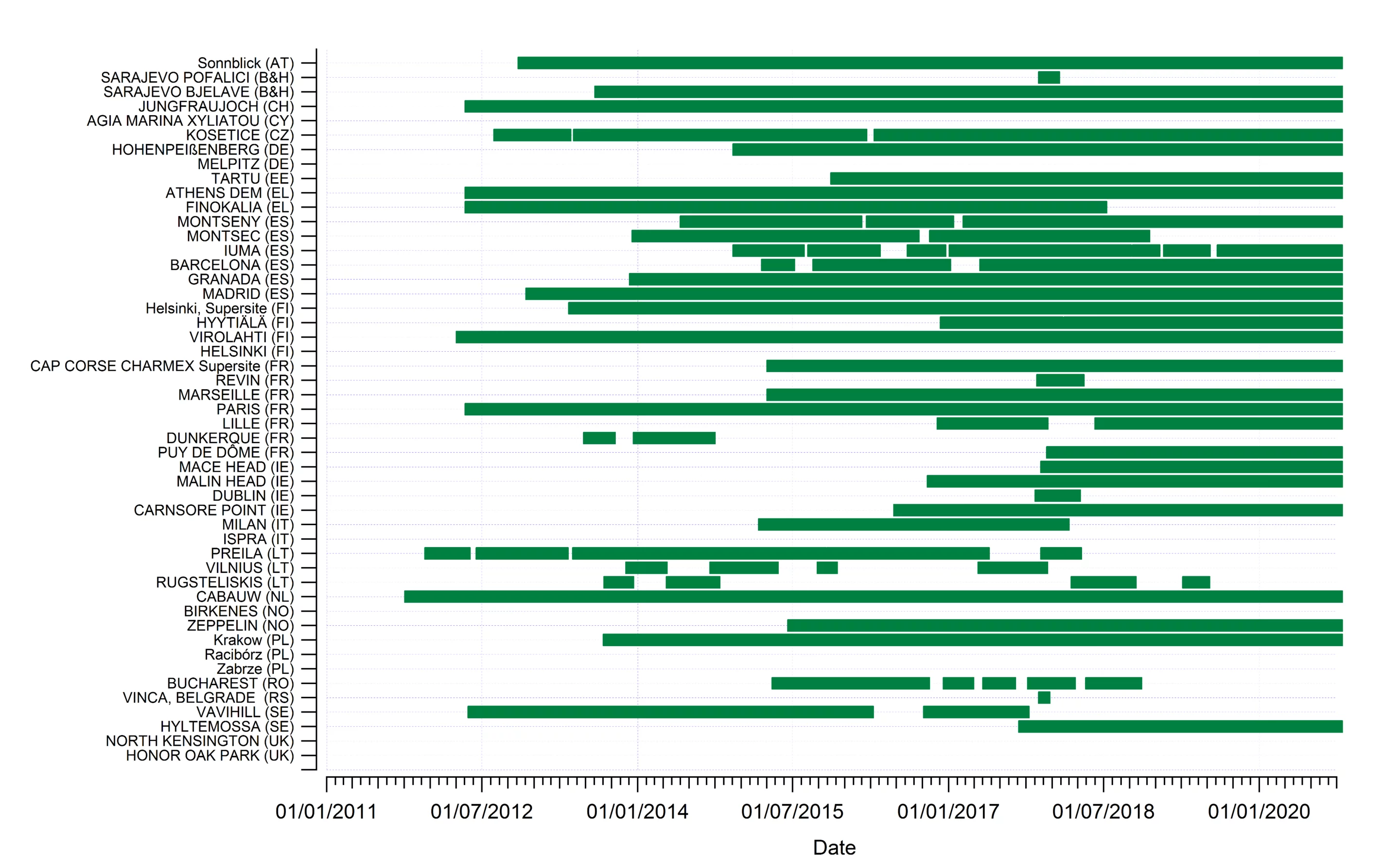
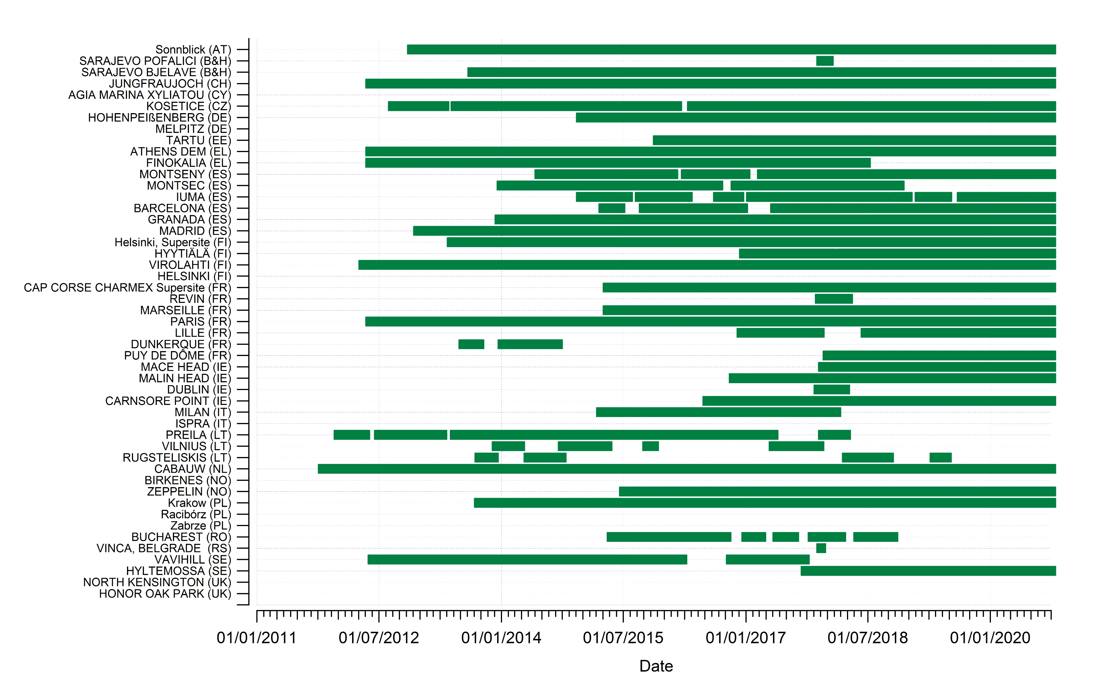
EMEP ACSM Station Data Coverage updated on Jan 28th, 2019 Data availability of European ACSM/AMS Stations updated on Sep 7th, 2021 Data availability of European Aethalometer Data updated on Sep 7th, 2021