Photon-interactions with polymers

Laser ablation of polymers was reported first in 1982 by R.Srinivasan et al and Y. Kawamura et al and has been considered as promising method for dry etching of polymers. Very soon the first discussions about the mechanism started, i.e. whether the ablation mechanism is thermal, photothermal or photochemical. Two approaches that can give insights into this complicated processes are single pulse and/or time-resolved methods and the modification or design of polymers for ablation.
(with the Laboratory for Functional Polymers, Empa)

The main goal for designing polymers is the development of photolabile polymers, which are applied as dynamic release layers in laser-induced forward transfer (LIFT) for the deposition of OLED and sensor materials.

Properties of designed polymers:
  • High absorption coefficient at the irradiation wavelength
  • Integration of photochemical active group in the polymer main chain
  • Exothermic decomposition
  • Large amount of gaseous ablation products, that could act as carrier gas for 'larger' ablation fragments
  • 'Low' amount of aromatic groups, which are probably the origin of carbonization
  • Introduction of photochemical active groups in the main chain of the polymer
  • Decoupeling of the absorption of the active unit from the rest of the polymer
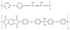
Examples are the triazene-polymers (TP, top structure) or photosensitive polyimides (PI, bottom structure).
Siemens star produced with 308 nm laser irradiation in TP (left) and PI (right). Sharper features are observed for TP. Also no contamination of the ablated area and the surrounding surface by ablation products is observed for TP compared to PI.



Single-pulse methods
True single pulse ablation rate by Quartz Crystal Microbalance (QCM)

The Quartz Crystal Microbalance (QCM) is an extremely sensitiv mass sensor, capable of measuring mass changes in the nanogram range. QCMs are piezoelectric devices fabricated of a thin plate of quartz with electrodes affixed to each side of the plate.
Ablation rates of TP determined by QCM:
  • Ablation rates suggest direct relation to the linear absorption coefficient (UV-Vis spectrum)
  • direct excitation of triazene group (308 nm)
  • resonance with aromatic system (193 nm)
  • slower increase of the ablation rates with the fluence for shorter irradiation wavelengths
Important results from QCM measurements:
  • Carbonisation of surface after the first pulse (change of the ablation rate)
  • Desorption of adsorbates at very low fluences
  • Decomposition and release of gaseous products from the polymers without structuring



Time-resolved methods
Visualization of the ablation products and shockwave with ns-Shadowgraphy
  • Any laser can be used as pump laser (e.g. Nd:YAG as pump laser)
  • A probe laser (all laser in the UV or visible range) to excite a dye
  • ambient conditions and at fluences below Fth plasma
  • Particles are ejected from all carbon doped polymers
  • The particles travel overtake the shockwave in case of PVN and PVC.
  • The fastest Shockwave for PVN+C, followed by GAP with both dopants and PVC
  • No particles are visible in the ablation plume of GAP+IR g the polymer is mainly decomposed into gaseous products
Time-resolved changes of the polymer surface morphology by ns-Interferometry

Interferometry is a Pump-Probe experiment under ambient conditions. A pump laser (e.g. Excimer) is used to ablate the material, while a second laser (e.g. Nd:YAG) is triggered with various delay times after the pump laser. Each image or data point corresponds to a different ablation spot and laser pulse. The probe laser beam is divided in two parts by a beamsplitter. The two beams are reflected by the sample or the reference surface, and are then recombined on the CDD, which records the resulting interference pattern. The interference pattern is then analyzed by FFT. The phase shift corresponds to a change in the surface morphology, and the amplitude to change in the reflectivity.
Analysis of ns-interferometry with FFT (phase and amplitude) allows to analyse surface displacement and changes of reflectivity. The data show that structuring starts and ends with the laser pulse (308 nm), that no pronounced swelling is detected, and that the reflectivity regains its original value at the end of the pulse.
  • Positive phase shift = surface removal
  • Morphology changes start and end with laser pulse
  • No surface swelling (thermal expansion)
  • Previous studies suggest a photochemical mechanism
Composition and energy of ablation fragments by Mass Spectrometry
  • Any laser can be used as pump laser
  • The mass spectrometer is triggered before the laser to collect all species
  • Triggering is necessary to reduce noise
  • Neutral and ionic fragments can be detected
  • Kinetic energy of selected species are directly recorded



Polymers as dynamic release layers (DRL) for laser-induced forward transfer (LIFT) of OLED and sensor materials (with the Laboratory for Functional Polymers, Empa)

Polymers as fuel for laser based micro-thruster (with Photonic Associates, LLC)
The micro laser plasma thruster (µ-LPT) is a micropropulsion device, designed for steering and propelling of small satellites ( 1 to 10 kg). A laser is focused onto a polymer layer on a substrate to form a plasma, which produces the thrust that is used to control the satellite motion.
Polymer Decomposition Temperature [°C] Decomposition Enthalpy [J/g]
PVC 241,288,383 -418
GAP 249 -2053
PVN 204 -3829
Three different polymers were tested to understand the influence of their specific properties on the thrust performance: poly(vinyl chloride) (PVC) as a low-energetic material, a glycidyl azide polymer (GAP), and poly(vinyl nitrate) (PVN) as high-energetic polymers.
The expansion velocity of selected ablation products was measured with different methods:
  • Shockwave expansion velocity measured with Shadowgraphy at low irradiation fluence in ambient conditions
  • The kinetic energy of C+-ions with Mass spectrometry
  • The expansion velocity of neutral Hydrogen by observing the expansion of the H-Balmer line with Plasma Emission spectrometry
Polymer Shadowgraphy [m/s] Mass Spectrometer [m/s] Plasma Emission [m/s]
GAP+C 710 28600 46000
GAP+IR 850 29300 36700
PVN+C 1080 25100 31100
PVC+C 630 25900 48300
  • GAP showed the best performance as fuel for the micro-thruster
  • Chemically stored energy is released by decomposing polymer
  • Efficiency of 50% measured for PVC
  • Worst performance observed for PVN (Strong thermal effects were observed)
Polymer Isp [s] Cm [μN/W] vE [m/s] ηAB [%]
GAP+C 867 865 8502 368
PVN+C 137 310 1343 21
PVC+C 159 635 1559 49
Isp: momentum coupling coefficient
Cm: specific impulse
vE: exhaust velocity
ηAB: ablation efficiency parameter



Excimer Lamp

Incoherent photon sources, such as mercury or excimer lamps can be used for various applications, e.g. synthetic photochemistry, surface modification and structuring. Mercury lamps are the classical UV-photon source (lines at 365 nm and 254 nm) while excimer lamps are a newer development (1980ies). The latter emit in the visible, UV and even vacuum UV. They do not produce the high photon fluxes of lasers, but are capable of emitting in quasi-CW mode over large areas. We currently apply three different excimer lamps, which are shown below. From left to right: Xe2* at 172 nm, KrCl* at 222 nm, and XeCl* at 308 nm.
Modification of Poly(dimethylsiloxane)

Recently excimer lamps have been used to modify an important technical polymer i.e. poly-dimethylsiloxane (PDMS). Poly(dimethylsiloxane)s (PDMS) are widely used as coatings in a variety of fields including biomedical applications, such as membrane technology, microlithography, optics and dielectrics.

Cross-linked poly(siloxane)s possess unique mechanical, nearly ideal elastomer and optical properties, low weight, high durability, high gas permeability and excellent water repellency. The modification of the hydrophobic PDMS to hydrophilic SiOx opens an additional wide range of applications i.e. in microelectronics and coating technology for medical devices. Transformation of PDMS to SiOx structure have been achieved by irradiation with a Xe2 excimer lamp at 172 nm in air. The modification of the surface properties have been analyzed in detail by contact angle measurements of water, which reveal a fast decrease of the contact angle as a function of irradiation time and intensity . This change of the contact angle is associated with a change of the chemical composition of the surface, which has been measured by XPS. The surface layer becomes enriched in oxygen and depleted in carbon to reach an O/Si ratio of almost 2.
Changes of the water contact angles on PDMS for 172 nm irradiation in air with various irradiation times and intensities.
Changes of the O/Si (red) and C/Si (black) atomic ratios of PDMS exposed to 172 nm (16.6 mW/cm2 ) irradiation in air with various irradiation times as determined by XPS.