Current Research Highlights

This page gives an overview about the currently published activities of the group. 

The reseach activities are centred around the preparation and characterization of thin films using pulsed laser deposition and partly bulk materials. To synthesize and study bulk is useful since we prepare most of the time the target materials we use ourself. 


Multiferroics - Role of Dy on the magnetic properties of orthorhombic DyFeO3

 

Orthoferrites are a class of magnetic materials with a magnetic ordering temperature above 600 K, predominant G-type antiferromagnetic ordering of the Fe-spin system and, depending on the rare-earth ion, a spin reorientation of the Fe spin taking place at lower temperatures. DyFeO3 is of particular interest since the spin reorientation is classified as a Morin transition with the transition temperature depending strongly on the Dy-Fe interaction. Here, we report a detailed study of the magnetic and structural properties of microcrystalline DyFeO3 powder and bulk single crystal using neutron diffraction and magnetometry between 1.5 and 450 K. We find that, while the magnetic properties of the single crystal are largely as expected, the powder shows strongly modified magnetic properties, including a modified spin reorientation and a smaller Dy-Fe interaction energy of the order of 10 μeV. Subtle structural differences between powder and single crystal show that they belong to distinct magnetic space groups. In addition, the Dy ordering at 2 K in the powder is incommensurate, with a modulation vector of 0.0173(5) c, corresponding to a periodicity of ∼58 unit cells.

(a) Reconstructed DyFeO3 unit cell from the powder diffraction data. (b) Magnetic structure for DyFeO3 powder between 450 and 100 K as derived from powder neutron diffraction measurements. Displayed is the Fe lattice. (c) Magnetic structure of the Fe lattice below the spin reorientation for the powder. (d) Magnetic structure of the ordered Dy lattice at 2 K for the powder.

ZFC measurements of the DyFeO3 single crystal along [100], [010], and [001] with a magnetic field of H = 0.01 T.

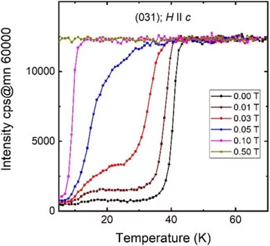
Temperature dependence of the maximum peak intensity of the (031) /(03-1) single crystal Bragg peak for different magnetic field amplitudes applied along the [001] direction.

 

 B. Biswas; V. F. Michel; Ø. S. Fjellvåg; G. Bimashofer; M. Döbeli; M. Jambor; L. Keller; E. Müller; V. Ukleev; E. V. Pomjakushina; D. Singh; U. Stuhr; C. A. F. Vaz; T. Lippert; and C. W. Schneider;
Role of Dy on the magnetic properties of orthorhombic DyFeO3
Phys. Rev. Materials 6, 074401 (2022) DOI: doi.org/10.1103/PhysRevMaterials.6.074401


Plasma Spectroscopy - Gas Phase Reaction Dynamics

 

The gas-phase reaction dynamics and kinetics in a laser induced plasma are very much dependent on the interactions of the evaporated target material and the background gas. For metal (M) and metal-oxygen (MO) species ablated in an Ar and O2 background the expansion dynamics in O2 is similar to the expansion dynamics in Ar for M+ ions with an MO+ dissociation energy smaller than O2. This is different for metal ions with an MO+ dissociation energy larger than for O2. Here, the plume expansion in O2 differentiates itself from the expansion in Ar due to the formation of MO+ species. At a high oxygen background pressure, the preferred kinetic energy range to form MO species as a result of chemical reactions in an expanding plasma is up to 5 eV.

The ratio of MO+/(M++MO+) vs. dissociation energy of MO+ species as determined at 1.5×10‑1 mbar O2. The dashed line represents the dissociation energy of O2, Edissoc, O2=5.12 eV .  

Pressure dependence of La+, O+ and LaO+ in O2 and Ar.

Fitting of ion energy distributions for LaO+ ablated at 5x10-2 mbar O2 using Maxwell-Boltzmann (MB) distributions. The entire LaO+ vacuum-distribution can be described by three MB velocity distributions. The fitting with three MB functions suggests an approximately 50eV wide window for chemical activity. Between 0-5 eV more than 90% of the measured LaO+  species have been formed, and between 5 and 15 eV 98 % indicating that most LaO+ species have been formed within a kinetic energy window of 15eV. For the La+ species, the maximum Ekin is at ~2.6 eV and the second maximum at ~22 eV. The origin of the slow species is probably related to thermally emitted species after the termination of the laser pulse whereas the faster species are emitted and accelerated within the timescale of the laser pulse and subsequently slowed down.

 

X. Yao; C. W. Schneider; A. Wokaun; and T. Lippert;
New Insight into the Gas Phase Reaction Dynamics in Pulsed Laser Deposition of Multi-Elemental Oxides
Materials 15, 4862 (2022); DOI: doi.org/10.3390/ma15144862