Optics

XTremeGrating.jpg


The optical layout for the X-Treme beamline is based in a plane grating monochromator operated in collimated light. The horizontal focusing is made with the first mirror, and the vertical focusing is made by the focusing mirror into the exit slit. The refocusing mirror focus the beam at the sample. This last mirror can be removed from the beam for an unfocused spot. The beam size can them be made smaller by motorized apertures before the refocusing and focusing mirrors.

Currently there is one grating mounted at the beamline, with 1200 lines/mm and laminar profile.

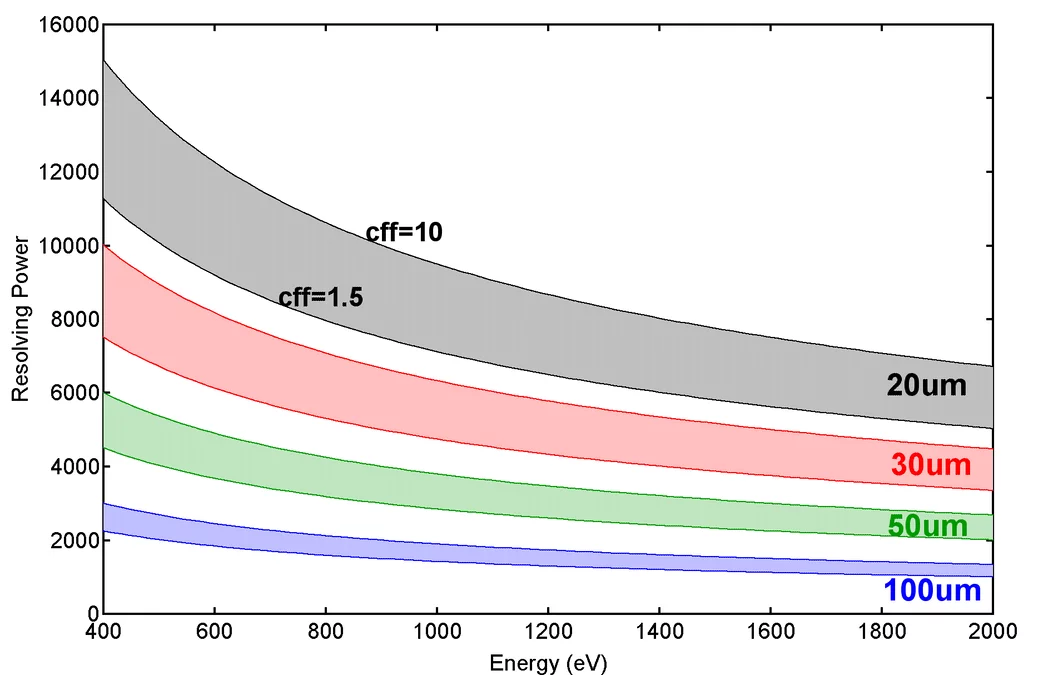
The figures below show an schematics of the optical layout, a calculation of the energy resolution for different exit slit openings and cff values as well as a N K-edge measurement taken wiht N2 gas.