Scientific Highlights 2010

The following selection of scientific highlights comprises either publications with NUM staff members as part of the list of authors or publications based on experiments, which were performed at one of the three user facilities operated by NUM: SINQ, SμS or Particle Physics. 

Three-dimensional imaging of magnetic domains

magnetic domains have been the subject of much scientific investigation since their theoretical existence was first postulated by P.-E. Weiss over a century ago. up to now, the three- dimensional (3D) domain structure of bulk magnets has never been observed owing to the lack of appropriate experimental methods. Domain analysis in bulk matter thus remains one of the most challenging tasks in research on magnetic materials. All current domain observation methods are limited to studying surface domains or thin magnetic films. As the properties of magnetic materials are strongly affected by their domain structure, the development of a technique capable of investigating the shape, size and distribution of individual domains in three dimensions is of great importance. Here, we show that the novel technique of Talbot-Lau neutron tomography with inverted geometry enables direct imaging of the 3D network of magnetic domains within the bulk of Fesi crystals.

Anomalies in the Fermi Surface and Band Dispersion of Quasi-One-Dimensional CuO Chains in the High-Temperature Superconductor YBa2Cu4O8

We have investigated the electronic states in quasi-one-dimensional CuO chains by microprobe angle resolved photoemission spectroscopy. We find that the quasiparticle Fermi surface consists of six disconnected segments, consistent with recent theoretical calculations that predict the formation of narrow, elongated Fermi surface pockets for coupled CuO chains. In addition, we find a strong renormalization effect with a significant kink structure in the band dispersion. The properties of this latter effect [energy scale (∼40  meV), temperature dependence, and behavior with Zn-doping] are identical to those of the bosonic mode observed in CuO2 planes of high-temperature superconductors, indicating they have a common origin.

Field-Induced Tomonaga-Luttinger Liquid Phase of a Two-Leg Spin-1/2 Ladder with Strong Leg Interactions

We study the magnetic-field-induced quantum phase transition from a gapped quantum phase that has no magnetic long-range order into a gapless phase in the spin-1/2 ladder compound bis(2,3-dimethylpyridinium) tetrabromocuprate (DIMPY). At temperatures below about 1 K, the specific heat in the gapless phase attains an asymptotic linear temperature dependence, characteristic of a Tomonaga-Luttinger liquid. Inelastic neutron scattering and the specific heat measurements in both phases are in good agreement with theoretical calculations, demonstrating that DIMPY is the first model material for an S 1⁄4 1=2 two-leg spin ladder in the strong-leg regime.

New constraints on Lorentz invariance violation from the neutron electric dipole moment

We propose an original test of Lorentz invariance in the interaction between a particle spin and an electromagnetic field and report on a first measurement using ultracold neutrons. We used a high-sensitivity neutron electric dipole moment (nEDM) spectrometer and searched for a direction dependence of an nEDM signal leading to a modulation of its magnitude at periods of 12 and 24 hours. We constrain such a modulation to d12 < 10 × 10−25 e cm and d24 < 14 × 10−25 e cm at 95% C.L. The result translates into a limit on the energy scale for this type of Lorentz violation effect at the level of εLV > 1010 GeV.

Compositional Control of the Superconducting Properties of LiFeAs

The response of the superconducting state and crystal structure of LiFeAs to chemical substitutions on both the Li and the Fe sites has been probed using high-resolution X-ray and neutron diffraction measurements, magnetometry, and muon-spin rotation spectroscopy. The superconductivity is extremely sensitive to composition: Li-deficient materials (Li1−yFe1+yAs with Fe substituting for Li) show a very rapid suppression of the superconducting state, which is destroyed when y exceeds 0.02, echoing the behavior of the Fe1+ySe system. Substitution of Fe by small amounts of Co or Ni results in monotonic lowering of the superconducting transition temperature, Tc, and the superfluid stiffness, ρs, as the electron count increases. Tc is lowered monotonically at a rate of 10 K per 0.1 electrons added per formula unit irrespective of whether the dopant is Co and Ni, and at higher doping levels superconductivity is completely suppressed. These results and the demonstration that the superfluid stiffness in these LiFeAs-derived compounds is higher than in all of the iron pnictide materials underlines the unique position that LiFeAs occupies in this class.

Engineering spin propagation across a hybrid organic/inorganic interface using a polar layer

Here we show that we can control the spin polarization of extracted charge carriers from an OSC by the inclusion of a thin interfacial layer of polar material. The electric dipole moment brought about by this layer shifts the OSC highest occupied molecular orbital with respect to the Fermi energy of the ferromagnetic contact. This approach allows us full control of the spin band appropriate for charge-carrier extraction, opening up new spintronic device concepts for future exploitation.

An Original Polymorph Sequence in the High-Temperature Evolution of the Perovskite Pb2TmSbO6

The synthesis, crystal structure, and dielectric properties of the novel double perovskite Pb2TmSbO6 are described. The room-temperature crystal structure was determined by ab initio procedures from neutron powder diffraction (NPD) and synchrotron X-ray powder diffraction (SXRPD) data in the monoclinic C2/c (No. 15) space group. This double perovskite contains a completely ordered array of alternating TmO6 and SbO6 octahedra sharing corners, tilted in antiphase along the three pseudocubic axes, with an a-b-b- tilting scheme, which is very unusual in the crystallochemistry of perovskites.

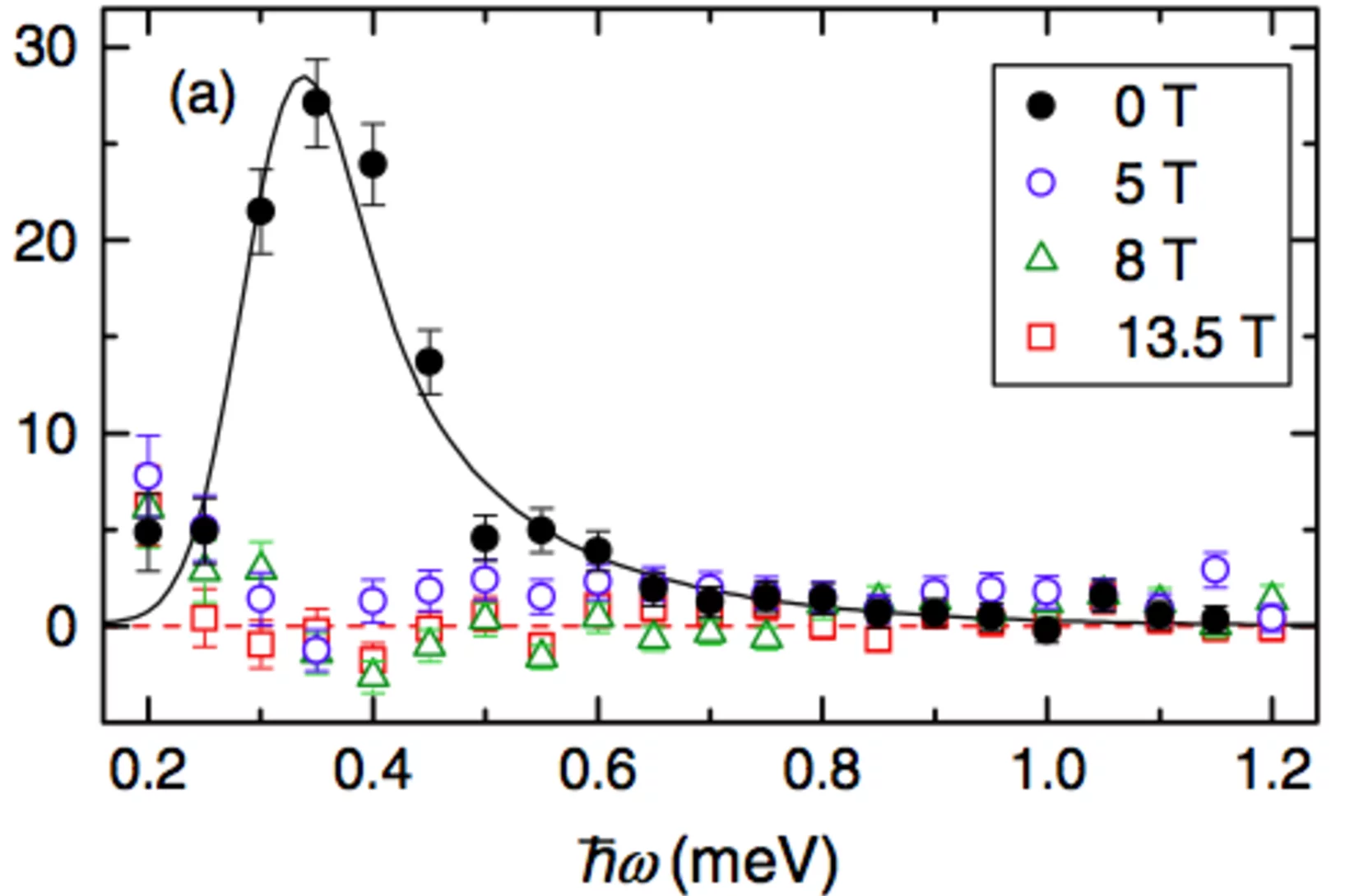
Exploring the Fragile Antiferromagnetic Superconducting Phase in CeCoIn5

CeCoIn5 is a heavy fermion type-II superconductor showing clear signs of Pauli-limited superconductivity. A variety of measurements give evidence for a transition at high magnetic fields inside the superconducting state, when the field is applied either parallel to or perpendicular to the c axis. When the field is perpendicular to the c axis, antiferromagnetic order develops on the high-field side of the transition. This order remains as the field is rotated out of the basal plane, but the associated moment eventually disappears above 17°, indicating that anomalies seen with the field parallel to the c axis are not related to this magnetic order. We discuss the implications of this finding.

Study of the Ground State Properties of LiHoxY1-xF4 Using Muon Spin Relaxation

LiHoxY1-xF4 is an insulator where the magnetic Ho3+ ions have an Ising character and interact mainly through magnetic dipolar fields. We used the muon spin relaxation technique to study the nature of its ground state for samples with x≤0.25. In contrast with some previous works, we did not find canonical spin glass behavior down to ≈15  mK. Instead, below ≈300  mK we observed temperature-independent dynamic magnetism characterized by a single correlation time. The 300 mK energy scale corresponds to the Ho3+ hyperfine interaction strength, suggesting that this interaction may be involved in the dynamic behavior of the system.

Neutron Optical Beam Splitter from Holographically Structured Nanoparticle-Polymer

We report a breakthrough in the search for versatile diffractive elements for cold neutrons. Nanoparticles are spatially arranged by holographical means in a photopolymer. These grating structures show remarkably efficient diffraction of cold neutrons up to about 50% for effective thicknesses of only 200 ??μm. They open up a profound perspective for next generation neutron-optical devices with the capability to tune or modulate the neutron diffraction efficiency.

Size-dependent reversal of grains in perpendicular magnetic recording media measured by small-angle polarized neutron scattering

Polarized small-angle neutron scattering has been used to measure the magnetic structure of a CoCrPt–SiOx thin-film data storage layer, contained within a writable perpendicular recording media, at granular (<10 nm) length scales. The magnetic contribution to the scattering is measured as the magnetization is reversed by an external field, providing unique spatial information on the switching process. A simple model of noninteracting nanomagnetic grains provides a good description of the data and an analysis of the grain-size dependent reversal provides strong evidence for an increase in magnetic anisotropy with grain diameter.

Direct Observation of Impurity-Induced Magnetism in a Spin-1/2 Antiferromagnetic Heisenberg Two-Leg Spin Ladder

Nuclear magnetic resonance and magnetization measurements were used to probe the magnetic features of single-crystalline Bi(Cu1-xZnx)2PO6 with 00 and we present clear evidence for a temperature-dependent variation of the local magnetization close to the Zn sites. The generic nature of this observation is indicated by results of model calculations on appropriate spin systems of limited size employing quantum Monte Carlo methods.

Coexistence and Competition of Magnetism and Superconductivity on the Nanometer Scale in Underdoped BaFe1.89Co0.11As2

We report muon spin rotation (μSR) and infrared spectroscopy experiments on underdoped BaFe1.89Co0.11As2 which show that bulk magnetism and superconductivity (SC) coexist and compete on the nanometer length scale. Our combined data reveal a bulk magnetic order, likely due to an incommensurate spin density wave (SDW), which develops below Tmag≈32  K and becomes reduced in magnitude (but not in volume) below Tc=21.7  K. A slowly fluctuating precursor of the SDW seems to develop already below the structural transition at Ts≈50  K. The bulk nature of SC is established by the μSR data which show a bulk SC vortex lattice and the IR data which reveal that the majority of low-energy states is gapped and participates in the condensate at T?Tc.

Incommensurate Magnetic Order and Dynamics Induced by Spinless Impurities in YBa2Cu3O6.6*

We report an inelastic-neutron-scattering and muon-spin-relaxation study of the effect of 2% spinless (Zn) impurities on the magnetic order and dynamics of YBa2Cu3O6.6, an underdoped high-temperature superconductor that exhibits a prominent spin pseudogap in its normal state. Zn substitution induces static magnetic order at low temperatures and triggers a large-scale spectral-weight redistribution from the magnetic resonant mode at 38 meV into uniaxial, incommensurate spin excitations with energies well below the spin pseudogap. These observations indicate a competition between incommensurate magnetic order and superconductivity close to a quantum critical point. Comparison to prior data on La2-xSrxCuO4 suggests that this behavior is universal for the layered copper oxides and analogous to impurity-induced magnetic order in one-dimensional quantum magnets.

Magnetostriction and Magnetic Heterogeneities in Iron-Gallium

Iron-gallium alloys Fe1-xGax exhibit an exceptional increase in magnetostriction with gallium content. We present small-angle neutron scattering investigations on a Fe0.81Ga0.19 single crystal. We uncover heterogeneities with an average spacing of 15 nm and with magnetizations distinct from the matrix. The moments in and around the heterogeneities are observed to reorient with an applied magnetic field or mechanical strain. We discuss the possible roles played by nanoscale magnetic heterogeneities in the mechanism for magnetostriction in this material.

Magnetic flux lines in type-II superconductors and the 'hairy ball' theorem*

Many prominent phenomena originate from geometrical effects rather than from local physics. For example, the ‘hairy ball’ (HB) theorem asserts that a hairy sphere cannot be combed without introducing at least one singularity, and is fulfilled by the atmospheric circulation with the existence of stratospheric polar vortices and the fact that there is always at least one place on Earth where the horizontal wind is still. In this study, we examine the consequences of the HB theorem for the lattice of flux lines that form when a magnetic field is applied to a type-II superconducting crystal. We find that discontinuities must exist in lattice shape as a function of field direction relative to the crystal. Extraordinary, ‘unconventional’ flux line lattice shapes that spontaneously break the underlying crystal symmetry are thus remarkably likely across all type-II superconductors, both conventional and unconventional.

Two-Dimensional Orbital-Like Magnetic Order in the High-Temperature La2-xSrxCuO4 Superconductor

In high-temperature copper oxide superconductors, a novel magnetic order associated with the pseudogap phase has been identified in two different cuprate families over a wide region of temperature and doping. We report here the observation below 120 K of a similar magnetic ordering in the archetypal cuprate La2-xSrxCuO4 (LSCO) system for x=0.085. In contrast with the previous reports, the magnetic ordering in LSCO is only short range with an in-plane correlation length of ∼10  Å and is bidimensional (2D). Such a less pronounced order suggests an interaction with other electronic instabilities. In particular, LSCO also exhibits a strong tendency towards stripes ordering at the expense of the superconducting state.


Transverse-Momentum and Pseudorapidity Distributions of Charged Hadrons in pp Collisions at √s=7  TeV

Charged-hadron transverse-momentum and pseudorapidity distributions in proton-proton collisions at √s=7  TeV are measured with the inner tracking system of the CMS detector at the LHC. The charged-hadron yield is obtained by counting the number of reconstructed hits, hit pairs, and fully reconstructed charged-particle tracks. The combination of the three methods gives a charged-particle multiplicity per unit of pseudorapidity dNch/dη||η|<0.5=5.78±0.01(stat)±0.23(syst) for non-single-diffractive events, higher than predicted by commonly used models. The relative increase in charged-particle multiplicity from √s=0.9 to 7 TeV is [66.1±1.0(stat)±4.2(syst)]%. The mean transverse momentum is measured to be 0.545±0.005(stat)±0.015(syst)  GeV/c. The results are compared with similar measurements at lower energies.

The size of the proton

Here, a technically challenging spectroscopic experiment is described: the measurement of the muonic Lamb shift. The results lead to a new determination of the charge radius of the proton. The new value is 5.0 standard deviations smaller than the previous world average, a large discrepancy that remains unexplained. Possible implications of the new finding are that the value of the Rydberg constant will need to be revised, or that the validity of quantum electrodynamics theory is called into question.

CdEr2Se4: A New Erbium Spin Ice System in a Spinel Structure

Here we present a detailed study of the spinel CdEr2Se4 and show it to be a new instance of spin ice, the first one in an erbium material and the first one in a spinel. Definitive experimental evidence comes from the temperature dependence of the magnetic entropy, which shows an excellent agreement with the predicted behavior for a spin ice state. Crystal field calculations demonstrate that the change in the local environment from that of the titanates completely alters the rare-earth anisotropy giving rise, in the case of Er3+, to the required Ising anisotropy, when Er2Ti2O7 behaves as an XY antiferromagnet. This finding opens up the possibility of new exotic ground states within the CdR2Se4 and CdR2Se4 families.

Core-Shell Magnetic Morphology of Structurally Uniform Magnetite Nanoparticles

A new development in small-angle neutron scattering with polarization analysis allows us to directly extract the average spatial distributions of magnetic moments and their correlations with three-dimensional directional sensitivity in any magnetic field. Applied to a collection of spherical magnetite nanoparticles 9.0 nm in diameter, this enhanced method reveals uniformly canted, magnetically active shells in a nominally saturating field of 1.2 T. The shell thickness depends on temperature, and it disappears altogether when the external field is removed, confirming that these canted nanoparticle shells are magnetic, rather than structural, in origin.

Size and Shape of Micelles Studied by Means of SANS, PCS, and FCS

The hexaethylene glycol monododecyl ether (C12E6) micelles at concentrations up to 10% have been studied in their isotropic phase (10-48 C) by means of small angle neutron scattering (SANS) and photon correlation spectroscopy (PCS). The SANS data obtained at low temperatures could be unequivocally interpreted as a result of scattering from a suspension of compact globular micelles with the shape of a triaxial ellipsoid or a short end-capped elliptical rod. Different models have been applied to analyze the SANS data obtained at higher temperatures: (i) elongated rod-like micelles with purely sterical interactions, (ii) compact globular micelles with a weak attractive potential, and (iii) globular micelles influenced by the critical phenomena in the whole temperature range studied.

Weak Superconducting Pairing and a Single Isotropic Energy Gap in Stoichiometric LiFeAs

We report superconducting (SC) properties of stoichiometric LiFeAs (Tc=17  K) studied by small-angle neutron scattering (SANS) and angle-resolved photoemission (ARPES). Although the vortex lattice exhibits no long-range order, well-defined SANS rocking curves indicate better ordering than in chemically doped 122 compounds. The London penetration depth λab(0)=210±20  nm, determined from the magnetic field dependence of the form factor, is compared to that calculated from the ARPES band structure with no adjustable parameters. The temperature dependence of λab is best described by a single isotropic SC gap Δ0=3.0±0.2  meV, which agrees with the ARPES value of Δ0ARPES=3.1±0.3  meV and corresponds to the ratio 2Δ/kBTc=4.1±0.3, approaching the weak-coupling limit predicted by the BCS theory. This classifies LiFeAs as a weakly coupled single-gap superconductor.

Evidence for a Magnetically Driven Superconducting Q Phase of CeCoIn5

We have studied the magnetic order inside the superconducting phase of CeCoIn5 for fields along the [1 0 0] crystallographic direction using neutron diffraction. We find a spin-density wave order with an incommensurate modulation Q=(q,q,1/2) and q=0.45(1), which within our experimental uncertainty is indistinguishable from the spin-density wave found for fields applied along [1 -1 0]. The magnetic order is thus modulated along the lines of nodes of the dx2-y2 superconducting order parameter, suggesting that it is driven by the electron nesting along the superconducting line nodes. We postulate that the onset of magnetic order leads to reconstruction of the superconducting gap function and a magnetically induced pair density wave.

Novel Type of Bicellar Disks from a Mixture of DMPC and DMPE-DTPA with Complexed Lanthanides*

We report on the formation of bicelles from a mixture of dimyristoylphosphatidylcholine (DMPC) and the chelator- lipid dimyristoylphosphatidylethanolamine-diethylenetriaminepentaacetate (DMPE-DTPA) with complexed lanthanides, either thulium (Tm3þ) or lanthanum (La3+). The two phospholipids used have the same acyl-chain length but differ in headgroup size and chemical structure. The total lipid concentration was 15 mM, and the molar ratio of DMPC to DMPE-DTPA was 4:1. The system was studied with small angle neutron scattering (SANS) in a magnetic field, cryo- transmission electron microscopy (cryo-TEM), and 31P NMR spectroscopy. We found that, after appropriate preparation steps, that is, extrusion through a polycarbonate membrane followed by a cooling step, monodisperse small unilamellar disks (flat cylinders called bicelles) are formed. They have a radius of 20 nm and a bilayer thickness of about 4 nm and are stable in the investigated temperature range of 2.5-30 C. Fitting of SANS data with a form factor for partly aligned flat cylinders shows that the bicelles are slightly orientable in a magnetic field of 8T if DMPE-DTPA is complexed with Tm3+.

Ground State of the Easy-Axis Rare-Earth Kagome Langasite Pr3Ga5SiO14

We report muon spin relaxation and 69,71Ga nuclear quadrupolar resonance local-probe investigations of the kagome compound Pr3Ga5SiO14. Small quasistatic random internal fields develop below 40 K and persist down to our base temperature of 21 mK. They originate from hyperfine-enhanced 141Pr nuclear magnetism which requires a nonmagnetic Pr3+ crystal-field (CF) ground state. In addition, we observe a broad maximum of the relaxation rate at approx 10K which we attribute to the population of the first excited magnetic CF level. Our results yield a Van Vleck paramagnet picture, at variance with the formerly proposed spin-liquid ground state.

Control of the Competition between a Magnetic Phase and a Superconducting Phase in Cobalt-Doped and Nickel-Doped NaFeAs Using Electron Count

Using a combination of neutron, muon, and synchrotron techniques we show how the magnetic state in NaFeAs can be tuned into superconductivity by replacing Fe by either Co or Ni. The electron count is the dominant factor, since Ni doping has double the effect of Co doping for the same doping level. We follow the structural, magnetic, and superconducting properties as a function of doping to show how the superconducting state evolves, concluding that the addition of 0.1 electrons per Fe atom is sufficient to traverse the superconducting domain, and that magnetic order coexists with superconductivity at doping levels less than 0.025 electrons per Fe atom.

Chiral Induction in Lyotropic Liquid Crystals: Insights into the Role of Dopant Location and Dopant Dynamics

Avoided-level-crossing muon spin resonance was applied to chiral dopants added to a nematic lyotropic liquid crystal to obtain information on the chiral induction in soft matter. The dopant solubilization at the surface of the amphiphile micelles (see model) is clarified. Reduced dopant dynamics is correlated with a strong chiral induction.

Spatially homogeneous ferromagnetism of (Ga, Mn)As*

Mn-doped GaAs is a ferromagnetic semiconductor, widely studied because of its possible application for spin-sensitive ‘spintronics’ devices. The material also attracts great interest in fundamental research regarding its evolution from a paramagnetic insulator to a ferromagnetic metal. The high sensitivity of its physical properties to preparation conditions and heat treatments and the strong doping and temperature dependencies of the magnetic anisotropy have generated a view in the research community that ferromagnetism in (Ga, Mn)As may be associated with unavoidable and intrinsic strong spatial inhomogeneity. Muon spin relaxation (μSR) probes magnetism, yielding unique information about the volume fraction of regions having static magnetic order, as well as the size and distribution of the ordered moments. By combining low-energy μSR, conductivity and a.c. and d.c. magnetization results obtained on high-quality thin-film specimens, we demonstrate here that (Ga, Mn)As shows a sharp onset of ferromagnetic order, developing homogeneously in the full volume fraction, in both insulating and metallic films. Smooth evolution of the ordered moment size across the insulator– metal phase boundary indicates strong ferromagnetic coupling between Mn moments that exists before the emergence of fully itinerant hole carriers.

Magnetic Ordering in Solid Oxygen up to Room Temperature

Oxygen is the only elemental molecule which carries an electronic magnetic moment. As a consequence, the different solid phases encountered on cooling show various degrees of magnetic order, and similar behavior is expected under compression. Here we present neutron diffraction data which reveal the magnetic ordering under high pressure in the δ (“orange”) phase, i.e., in the range 6–8 GPa and 20–240 K. We show that δ-O2 contains in total three different magnetic structures, all of them being antiferromagnetic and differing in the stacking sequence of O2 sheets along the c axis. This structural diversity can be explained by the quasi-two-dimensional nature of δ-O2 and the strong orientation dependence of the magnetic exchange interaction between O2 molecules. The results show that δ-O2 is a room temperature antiferromagnet.

Evolution of Two-Gap Behavior of the Superconductor FeSe1-x

The superfluid density, ρs, of the iron chalcogenide superconductor, FeSe1-x, was studied as a function of pressure by means of muon-spin rotation. The analysis of ρs(T) within the two-gap scheme reveals that the effect on both, the transition temperature Tc and ρs(0), is entirely determined by the band(s) where the large superconducting gap develops, while the band(s) with the small gap become practically unaffected.

Pressure Induced Static Magnetic Order in Superconducting FeSe1-x

We report on a detailed investigation of the electronic phase diagram of FeSe1-x under pressures up to 1.4 GPa by means of ac magnetization and muon-spin rotation. At a pressure of 0.8  GPa the nonmagnetic and superconducting FeSe1-x enters a region where static magnetic order is realized above Tc and bulk superconductivity coexists and competes on short length scales with the magnetic order below Tc. For even higher pressures an enhancement of both the magnetic and the superconducting transition temperatures as well as of the corresponding order parameters is observed. These exceptional properties make FeSe1-x to be one of the most interesting superconducting systems investigated extensively at present.