Show filters
Topological defects determine evolution of charge density wave phase transition
Total scattering signals collected at SwissFEL reveal the role of topological defects when switching properties of a charge density wave material. The defect formation and dynamics after laser excitation reveals new insights into the functionality of quantum materials.
Controlling magnetic waves in a spin liquid
Scientists at the Paul Scherrer Institute PSI have shown that excitation of a spin liquid with intense THz pulses causes spins to appear and align within less than a picosecond. This induced coherent state causes a magnetic field to form inside the material, which is detected using ultrashort X-ray pulses at the X-ray Free Electron Laser SwissFEL.
Short x-ray pulses reveal the source of light-induced ferroelectricity
Ultrafast measurements of the fluctuating atomic positions in the quantum paraelectric SrTiO3 after mid-infrared light excitation, reveal details about the creation of the material’s ferroelectric state.
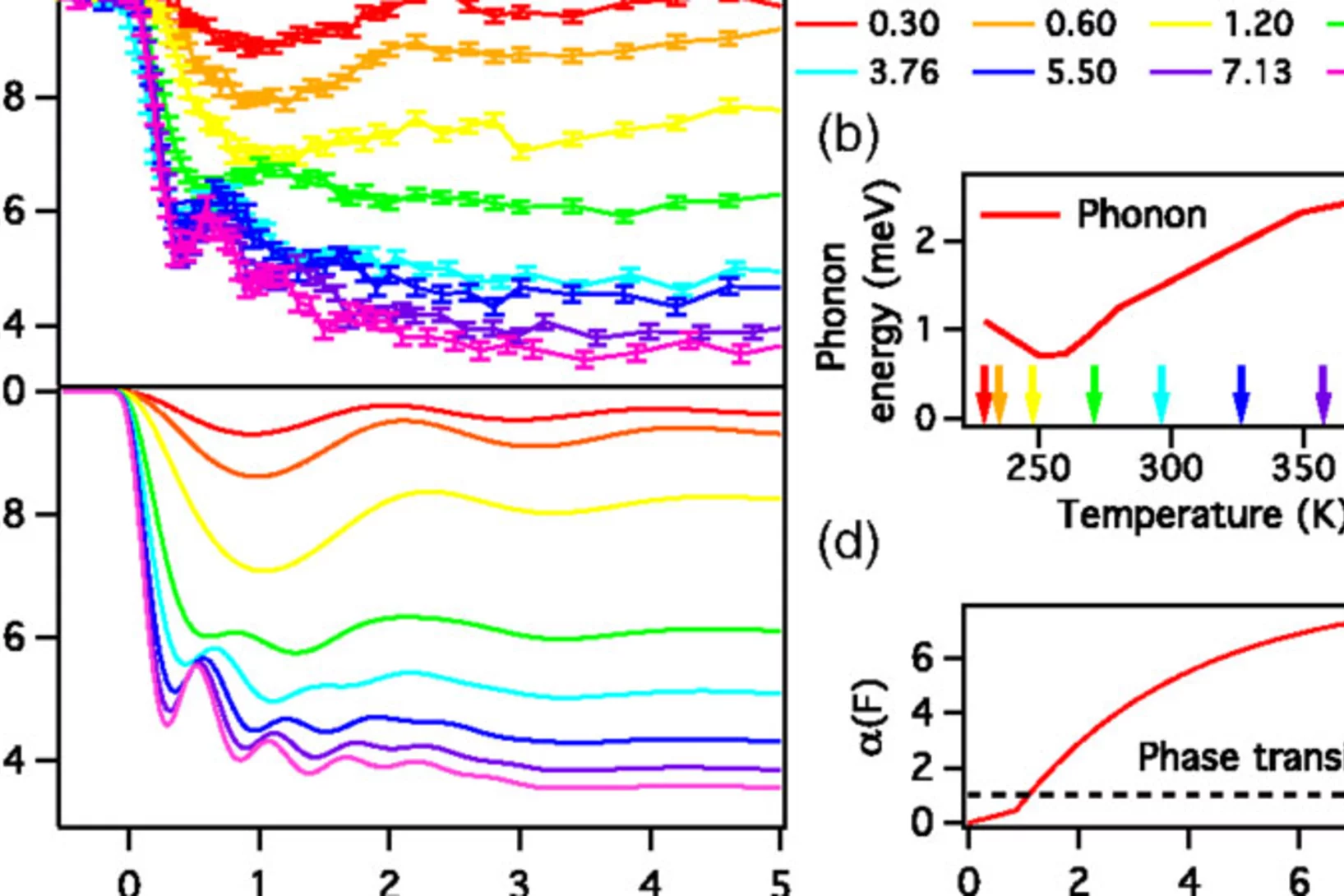
The secret life of an electromagnon
SwissFEL sheds light on how lattice and atomic spins jiggle together.
Strong modulation of carrier effective mass in WTe2 via coherent lattice manipulation
Schematic ultrafast surface diffraction setup used for monitoring the crystal lattice in multiple directions.
Anomalous temperature dependence of the experimental x-ray structure factor of supercooled water
Supercooled water scattering signals show an anolmalous structure factor temperature dependence suggesting decreasing density at lowering temperatures below 236 K (-37°C).
Einmalig scharfer Röntgenblick
Ein neues Verfahren des PSI erlaubt die quantenphysikalische Erforschung von Materialien mithilfe von Röntgenlasern.
Conduction control in nanoparticles
Light induced propagation strain pulse, converting nanoparticles of Ti3O5 from semiconducting to metallic phase.
Ultrafast calorimetry of deeply supercooled water
FEL-based ultrafast calorimetry measurements show enhancement and maximum in the isobaric specific-heat.
Ultrafast diffuse x-ray scattering of a hybrid perovskite crystal
Organic–inorganic ‘hybrid’ perovskites have recently gained attention as a low-cost alternative to silicon solar cells. However, many properties of these materials are still poorly understood. In particular, how imperfections in the crystals, which can be both static or dynamic, affect energy transport remains unclear.
Bernina status first summer shutdown
The summer shutdown was used to install more missing hardware. With the new components the Bernina instrument will be already very close to the full design capabilities when the exciting time of user experiments will begin in 2019.
Moving Atoms by Photodoping
Understanding how and how fast we can drive atoms to create a structural phase transition is of fundamental interest as it directly relates to many processes in nature. Here we show that a photoexcitation can drive a purely structural phase transition before the energy is relaxed in the material that corresponds to a “warmer” equilibrated state.
Regisseure mit Zusatzaufgaben
Datenspeicher aus neuartigen Materialien sollen ermöglichen, Informationen auf kleinerem Raum viel schneller und energiesparender als bisher aufzuzeichnen. Filmaufnahmen mit dem Röntgenlaser zeigen, was im Inneren möglicher neuer Speichermedien passiert und wie sich die Prozesse, bei denen das Material zwischen zwei Zuständen wechselt, optimieren lassen.
A first glance at the SwissFEL x-rays wave-front
X-ray Free Electron Lasers (XFELs) combine the properties of synchrotron radiation (short wavelengths) and laser radiation (high lateral coherence, ultrashort pulse durations). These outstanding machines allow to study ultra-fast phenomena at an atomic level with unprecedented temporal resolution for answering the most intriguing open questions in biology, chemistry and physics.
Photoinduced transitions in magnetoresistive manganites: A comprehensive view
Using the FEMTO slicing source at SLS, we have studied the structural response during the photoinduced transition in a charge-ordered Pr1-xCaxMnO3 thin films. By investigating the dynamics of both superlattice reflections and regular Bragg peaks, we disentangle the different structural contributions and analyze their relevant time-scales. Comparing these results with studies of the charge order and magnetic dynamics, a comprehensive picture of the phase transition linked to a single critical fluence fc is proposed.
First time resolved Pilot Experiment by SwissFEL: Semiconductor to metal transition in Ti3O5 nanocrystals
On the 30th of November 2017 SwissFEL saw its first time resolved pilot experiment in the Bernina experimental station of the SwissFEL ARAMIS beamline. A team of scientists from the University of Rennes, ESRF and PSI, led by Marco Cammarata (Univ. Rennes) and Henrik Lemke (PSI), successfully started the experimental phase at SwissFEL. The goal was to study the picosecond dynamics of a light-induced phase transition from a semiconductor to metallic crystal structure in a Titanium Oxide (D).
Coupling between a Charge Density Wave and Magnetism in an Heusler Material
The prototypical magnetic memory shape alloy Ni2MnGa undergoes various phase transitions as a function of the temperature, pressure, and doping. In the low-temperature phases below 260 K, an incommensurate structural modulation occurs along the [110] direction which is thought to arise from the softening of a phonon mode. It is not at present clear how this phenomenon is related, if at all, to the magnetic memory effect. Here we report time-resolved measurements which track both the structural and magnetic components of the phase transition from the modulated cubic phase as it is brought into the high-symmetry phase.
Nonlinear electron-phonon coupling in doped manganites
We employ time-resolved resonant x-ray diffraction to study the insulator-to-metal transition that is launched via resonant excitation of an infrared-active optical phonon mode in a half doped manganite. We find that the charge order reduces promptly with a highly nonlinear (quartic) dependence on excitation fluence.
Ultrafast formation of a charge density wave state in 1T-TaS2: observation at nanometer scales using time-resolved X-ray diffraction
Femtosecond time-resolved x-ray diffraction is used to study a photoinduced phase transition between two charge density wave (CDW) states in 1T-TaS2, namely the nearly commensurate (NC) and the incommensurate (I) CDW states. Structural modulations associated with the NC-CDW order are found to disappear within 400 fs.
Vorbereitet für den SwissFEL
Seit Jahren testen PSI-Forschende Experimentiermethoden, die am Röntgenlaser SwissFEL Einblicke in neuartige Materialien für elektronische Geräte ermöglichen werden. Mit einem besonderen Trick bringen sie dafür die Synchrotron Lichtquelle Schweiz SLS des PSI dazu, Licht zu erzeugen, das ähnliche Eigenschaften hat, wie dasjenige des SwissFEL. So konnten die Forschenden zeigen, dass die geplanten Experimente im Grundsatz möglich sind und den Bau des entsprechenden Messplatzes am SwissFEL vorschlagen.
Ultrafast structural dynamics of the Fe-pnictide parent compound BaFe2As2
Understanding the interplay of the various degrees of freedom such as the electrons, spins and lattice is essential for many complex materials, including the high-temperature superconductors.
Structural and magnetic dynamics in the magnetic shape-memory alloy Ni2MnGa
Magnetic shape-memory Heusler alloys are multiferroics stabilized by the correlations between electronic, magnetic, and structural order. To study these correlations we use time-resolved x-ray diffraction and magneto-optical Kerr effect experiments to measure the laser induced dynamics in a Heusler alloy Ni2MnGa film and reveal a set of time scales intrinsic to the system.
Square dance of the atoms: Shedding light on ultrafast phase transitions
The exploration of the interaction of structural and electronic degrees of freedom in strongly correlated electron systems on the femtosecond time scale is an emerging area of research. One goal of these studies is to advance our understanding of the underlying correlations, another to find ways to control the exciting properties of these materials on an ultrafast time scale. So far a general model is lacking that provides a quantitiative description of the correlations between the structural and electronic degrees of freedom.
Coherent structural dynamics of a prototypical Charge-Density-Wave-to-Metal transition
In so called charge-density-wave compounds, the peculiar shape of the Fermi surface as well as electron-phonon coupling lead to a low-temperature broken symmetry ground state. This state is characterized by a modulation of the charge density (hence the name) and, via electron-phonon coupling, a distortion of the equilibrium lattice positions.
Observed live with x-ray laser: Electricity controls magnetism
Researchers from the Paul Scherrer Institute PSI and ETH Zurich have now changed the magnetic arrangement in a material much faster than is possible with today’s hard drives. The researchers used a new technique where an electric field triggers these changes, in contrast to the magnetic fields commonly used in consumer devices.
Atomic motions untangled
The pursuit of capturing motion in a movie bears an obvious fascination irrespective of the time scales involved. In the atomic and molecular world where the masses are so light and the distances small the relevant time scale shifts to the ubpicosecond range and the motions become frantic especially for larger molecular systems
Structural and magnetic dynamics of a first order phase transition
We use time-resolved x-ray diffraction and magneto-optical Kerr effect to study the laser-induced antiferromagnetic to ferromagnetic phase transition in FeRh. The structural response is given by the nucleation of independent ferromagnetic domains (t ~ 30 ps).
Femtosecond dynamics of an antiferromagnetic phase transition
We report on the ultrafast dynamics of magnetic order in a single crystal of CuO at a temperature of 207 K in response to strong optical excitation using femtosecond resonant x-ray diffraction. In this experiment performed at the LCLS X-ray free electron laser at Stanford a femtosecond laser pulse induces a sudden, nonequilibrium increase in magnetic disorder.
Non-thermal melting of a charge density wave
We use time-resolved optical reflectivity and x-ray diffraction with femtosecond resolution to study the dynamics of the structural order parameter of the charge density wave phase in TiSe2. We find that the energy density required to melt the charge density wave nonthermally is substantially lower than that required for thermal suppression and is comparable to the charge density wave condensation energy.
How fast can the lattice symmetry of a solid change?
One approach to advance our understanding of the complex interactions between different degrees of freedom in strongly correlated systems is to use time-resolved methods to study the response of a material after it has been driven out of equilibrium. Ultrafast optical techniques have demonstrated considerable potential to unravel the correlations that drive the interesting physics in such materials.