Beamline Optics

The optical scheme of the beamline adopts the concept of the Plane Grating Monochromator (PGM) operated in collimated light (Figure 1). This optical scheme benefits from high resolution, high flux, wide energy range and operation at variable Cff parameters allowing resolution and flux optimization. The collimating mirror (CM) is a toroid which converts the divergent beam from the source into the beam collimated in the vertical (dispersive) plane. The monochromator situated downstream consists of a plane pre-mirror (PM) and selectable gratings, dispersing the beam in photon energies. Three exchangeable gratings are used to provide optimal coverage of the flux and resolution: a blazed 800 l/mm one for maximal flux, lamellar 2000, and 4200 l/mm for maximal resolution. Downstream the monochromator is the focussing mirror (FM) which is a cylinder to focus the dispersed collimated beam on the exit slit, producing monochromatic light. In the horizontal (non-dispersive) plane, the FM has no focusing properties, and the beam from the undulator is directly focused by the CM on the exit slit, producing here a stigmatic focus. The first refocusing mirror (RM1) is a toroid which refocuses the beam on the sample in the first SX-ARPES endstation. When the RM1 is shifted away from the beam path, the second refocusing mirror (RM2) having an ellipsoidal shape refocuses the beam to the second RIXS endstation to bring the vertical spot size down to 4 µm as required for slitless operation of the RIXS spectrometer. The refocusing mirrors are mounted at high-precision hexapod mechanics. 

Figure 1: Optical scheme

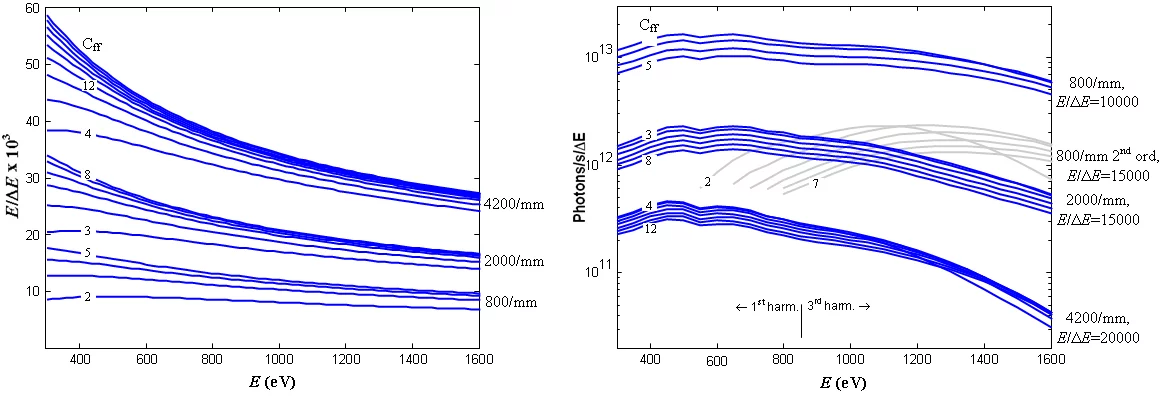
The experimentally confirmed resolution and flux parameters of the beamline are presented in Figure 2. With soft-X-ray RIXS and ARPES, two photon-hungry experimental techniques, the key performance element is the high flux, which has resulted from the SLS storage ring energy of 2.4 GeV exactly matching the soft-X-ray region, and optimized optical scheme with glancing incidence on the mirrors, optimized grating profiles and operation at flux-optimal Cff values. The performance level of ADRESS makes it presently the forefront soft-X-ray beamline. Its extremely reliable operation can be characterized by basically zero downtime during the last few years. 

Figure 2: Resolving power and flux parameters. The lines corresponds to different Cff.