MOENCH: Micropixel with enhanced pOsition rEsolution usiNg CHarge integration

banner detectors.jpg

MÖNCH is an advanced hybrid silicon pixel detector, based on charge integration and analog readout, distinguished by its exceptionally small 25 μm pixel pitch. This research project aims to push the boundaries of hybrid pixel detector technology in terms of photon flux, spatial resolution, energy discrimination, and low-energy X-ray detection.

The MÖNCH03 prototype is a fully functional, small-scale detector with dimensions of 10x10 mm², containing an array of 400x400 pixels. It was designed using UMC 110 nm technology and is optimized for low-flux applications, with statically selectable gain settings. Despite being a prototype, MÖNCH03 has already been utilized in various scientific applications, demonstrating its versatility and potential. Key performance specifications are outlined below.

Noise40 electrons
Dynamic range100 12 keV photons
Frame rate1.3 kHz

The main foreseen target applications are:

  • Energy resolved experiments (XRF, Laue diffraction)
  • (Sub-)micron resolution imaging
  • Colour imaging with X-ray tubes
  • Low-energy detection
An extremely high bump-bonding yield better than 99.9% has been achieved for the 4x4mm2 MOENCH02 chip. This result is extremely important for the production of larger area systems.
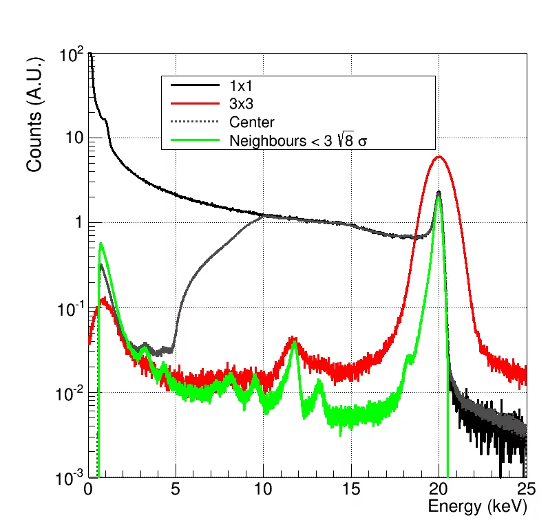
Summing up the charge collected by a 3x3 pixels cluster allows to reconstruct the whole X-ray energy and remove charge sharing.
The measured noise of the detector is as low as 30 e- ENC(rms) (120>
The charge sharing effect between pixels, together with the signal analog readout, can be exploited to interpolate the hit position as shown for a slit pattern with various pacing. Details well below the Nyqvist frequency are visible.
Previous slide
Next slide
  • Heymes J, Barten R, Baruffaldi F, Bergamaschi A, Brückner M, Carulla M, et al.
    Balancing gain and dynamic range in a 25 µm pitch hybrid pixel detector
    Journal of Instrumentation. 2024; 19(01): C01012 (9 pp.). https://doi.org/10.1088/1748-0221/19/01/C01012
    DORA PSI
  • Xie X, Barba Flores L, Bejar Haro B, Bergamaschi A, Fröjdh E, Müller E, et al.
    Enhancing spatial resolution in MÖNCH for electron microscopy via deep learning
    Journal of Instrumentation. 2024; 19(01): C01020 (11 pp.). https://doi.org/10.1088/1748-0221/19/01/C01020
    DORA PSI
  • Chiriotti S, Barten R, Bergamaschi A, Brückner M, Carulla M, Chsherbakov I, et al.
    High-spatial resolution measurements with a GaAs:Cr sensor using the charge integrating MÖNCH detector with a pixel pitch of 25 μm
    Journal of Instrumentation. 2022; 17: P04007 (17 pp.). https://doi.org/10.1088/1748-0221/17/04/P04007
    DORA PSI
  • Dreier ES, Bergamaschi A, Kallon GK, Brönnimann R, Olsen UL, Olivo A, et al.
    Tracking based, high-resolution single-shot multimodal x-ray imaging in the laboratory enabled by the sub-pixel resolution capabilities of the MÖNCH detector
    Applied Physics Letters. 2020; 117(26): 264101 (6 pp.). https://doi.org/10.1063/5.0027763
    DORA PSI
  • Wakonig K, Diaz A, Chiriotti S, Bergamaschi A, Bonnin A, Stampanoni M, et al.
    X-ray Fourier ptychography for out-of-focus measurements
    In: Lai B, Somogyi A, eds. X-ray nanoimaging: instruments and methods IV. Vol. 11112. Proceedings of SPIE. Bellingham, WA: SPIE; 2019:111120I (7 pp.). https://doi.org/10.1117/12.2528905
    DORA PSI
  • Wakonig K, Diaz A, Bonnin A, Stampanoni M, Bergamaschi A, Ihli J, et al.
    X-ray Fourier ptychography
    Science Advances. 2019; 5(2): eaav0282 (6 pp.). https://doi.org/10.1126/sciadv.aav0282
    DORA PSI
  • Bergamaschi A, Andrä M, Barten R, Brückner M, Chiriotti S, David C, et al.
    Hybrid detectors for high resolution imaging
    Microscopy and Microanalysis. 2018; 24(Suppl. 2): 316-318. https://doi.org/10.1017/S1431927618013910
    DORA PSI
  • Bergamaschi A, Andrä M, Barten R, Borca C, Brückner M, Chiriotti S, et al.
    The MÖNCH detector for soft X-ray, high-resolution, and energy resolved applications
    Synchrotron Radiation News. 2018; 31(6): 11-15. https://doi.org/10.1080/08940886.2018.1528428
    DORA PSI
  • Dullin C, Albers J, Tromba G, Andrä M, Ramilli M, Bergamaschi A
    MÖNCH detector enables fast and low-dose free-propagation phase-contrast computed tomography of in situ mouse lungs
    Journal of Synchrotron Radiation. 2018; 25(2): 565-569. https://doi.org/10.1107/S160057751701668X
    DORA PSI
  • Langer M, Vaz CAF, Chiriotti S, Bergamaschi A, Guizar-Sicairos M, Kleibert A, et al.
    Development of a new soft X-ray ptychography spectro-microscope at the Swiss Light Source (SLS)
    Microscopy and Microanalysis. 2018; 24(Suppl. 2): 54-55. https://doi.org/10.1017/S1431927618012709
    DORA PSI
  • Ramilli M, Bergamaschi A, Andrae M, Brückner M, Cartier S, Dinapoli R, et al.
    Measurements with MÖNCH, a 25 μm pixel pitch hybrid pixel detector
    Journal of Instrumentation. 2017; 12(1): C01071 (8 pp.). https://doi.org/10.1088/1748-0221/12/01/C01071
    DORA PSI
  • Cartier S, Kagias M, Bergamaschi A, Wang Z, Dinapoli R, Mozzanica A, et al.
    Micrometer-resolution imaging using MÖNCH: towards G2-less grating interferometry
    Journal of Synchrotron Radiation. 2016; 23(6): 1462-1473. https://doi.org/10.1107/S1600577516014788
    DORA PSI
  • Bergamaschi A, Cartier S, Dinapoli R, Greiffenberg D, Jungmann-Smith JH, Mezza D, et al.
    Looking at single photons using hybrid detectors
    Journal of Instrumentation. 2015; 10(1): C01033 (13 pp.). https://doi.org/10.1088/1748-0221/10/01/C01033
    DORA PSI
  • Cartier S, Bergamaschi A, Dinapoli R, Greiffenberg D, Johnson I, Jungmann-Smith JH, et al.
    Study of the signal response of the MÖNCH 25 μm pitch hybrid pixel detector at different photon absorption depths
    Journal of Instrumentation. 2015; 10(3): C03022 (9 pp.). https://doi.org/10.1088/1748-0221/10/03/C03022
    DORA PSI
  • Cartier S, Bergamaschi A, Dinapoli R, Greiffenberg D, Johnson I, Jungmann JH, et al.
    Micron resolution of MÖNCH and GOTTHARD, small pitch charge integrating detectors with single photon sensitivity
    Journal of Instrumentation. 2014; 9(5): C05027 (10 pp.). https://doi.org/10.1088/1748-0221/9/05/C05027
    DORA PSI
  • Dinapoli R, Bergamaschi A, Cartier S, Greiffenberg D, Johnson I, Jungmann JH, et al.
    MÖNCH, a small pitch, integrating hybrid pixel detector for X-ray applications
    Journal of Instrumentation. 2014; 9(5): C05015 (9 pp.). https://doi.org/10.1088/1748-0221/9/05/C05015
    DORA PSI
Person Position Phone Nr. Email
Dr. Anna Bergamaschi
Group Leader Detector Science and Characterization
Dr. Roberto Dinapoli
Microelectronics Engineer, leader of the chip design group
Dr. Julian Brice Dominique Heymes
PostDoc