60Fe – a key nuclide for fundamental understanding of star evolution and the development of the Early Solar System

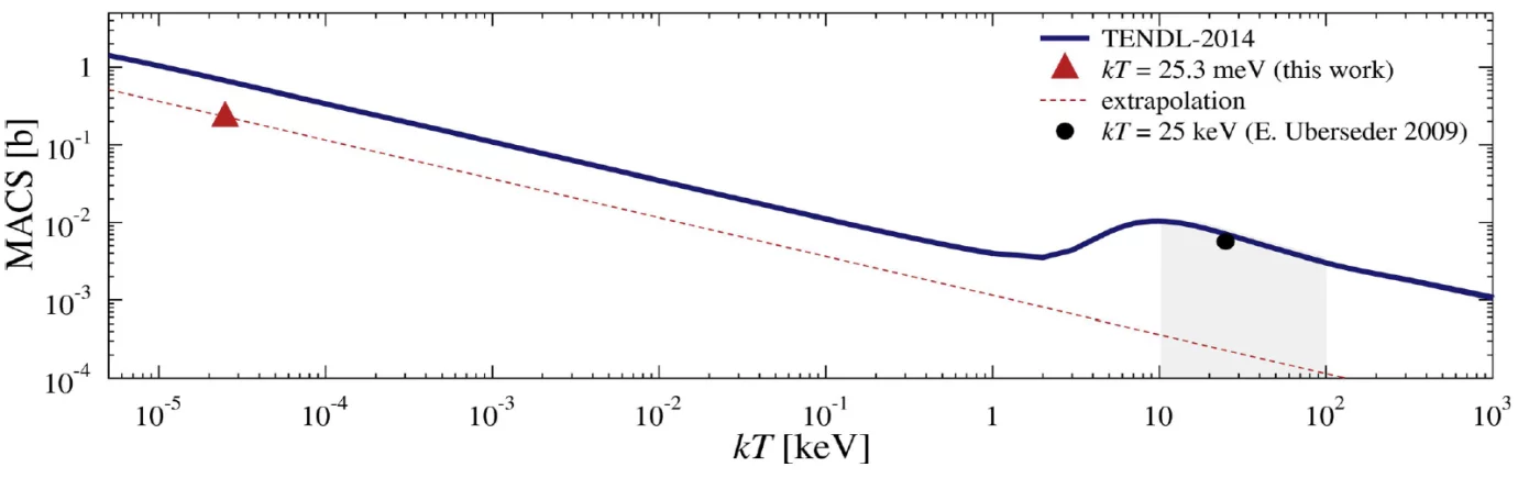
The only two neutron capture cross sections of 60Fe measured so far; red triangle: thermal energy (25.3 meV), black dot: stellar energy (25 keV). Both data points were obtained using sample material from PSI. Figure taken from [8].

After an extended analytical work [1], around 1016 atoms of 60Fe have been separated from a copper beam dump of the PSI proton accelerator complex. This material served up to now to produce samples for four half-life determinations [2-7] and two neutron capture cross section experiments (thermal energy and 25 keV, [8,9]). It has to be emphasized that during the past 20 years, all experiments world-wide requiring 60Fe samples relied on material produced and manufactured at PSI.


A unique set of characterized standard material for Accelerator Mass Spectrometry (AMS) [10] has been prepared and will be made available for research groups all over the world.
 

60Fe standard material as oxide powder.

Related publications
[1] D. Schumann et.al., Radiochemical analysis of a copper beam dump irradiated with high-energetic protons, Radiochim. Acta 97 (3), p. 123-131 (2009)
[2] A. Wallner et.al., Settling the half-life of 60Fe – fundamental for a versatile astrophysical chronometer, Phys. Rev. Letters 114, 041101 (2015)
[3] G. Rugel et.al., New measurement of the 60Fe half-life, Phys. Rev. Letters 103, 072502 (2009)
[4] N. Kivel et.al., Quantification of 60Fe atoms by MC-ICP-MS for the redetermination of the half-life, Anal. Bioanal. Chem. 405(9): p. 2965-2972 (2013)
[5] K. Ostdiek et.al., Towards a measurement of the Half Life of 60Fe for stellar and early Solar System models, Nucl. Instr. Methods B 361, p.638-642 (2015)
[6] K. Ostdiek et.al., Activity measurement of 60Fe through the decay of 60mCo and confirmation of its half-life, Phys. Rev. C 2017, accepted
[7] R. Dressler et.al., Nuclear properties of 60Fe, to be published
[8] T. Heftrich et.al., The thermal neutron capture cross section of the radioactive isotope 60Fe, Phys. Rev. C 92, 015806 (2015)
[9] E. Ueberseder et.al., Measurement of the 60Fe(n,)61Fe Cross Section at Stellar Temperatures, Phys. Rev. Letters 102, 151101 (2009)
[10] D. Schumann et.al., Production and characterization of 60Fe standards for Accelerator Mass Spectrometry, to be published