Magnetic and Superconducting Properties of Iron-Based Superconductors
Magnetism and superconductivity are key elements in the electronic phase diagram of all unconventional superconductors, such as the high-Tc cuprates, heavy-fermion, organic and Fe-based superconductors.
Muon spin rotation (µSR) is a powerful tool for studying the exact nature of the transition from the antiferromagnetic to the superconducting phase in high-Tc superconductors as a function of a control parameter such as doping or pressure. In this context, it is of special advantage that µSR, as a local probe, is sensitive to both the superconducting and magnetic volume fractions and to the respective order parameters, that fundamental microscopic parameters such as the magnetic penetration depth can be determined absolutely, and that µSR is extremely sensitive to small-moment, short-range and slowly fluctuating magnetic order. The accessible magnetic penetration depth is a relevant length for characterizing the superconducting state, the inverse square of it being the superfluid density. Its dependence on temperature, doping, orientation, and magnetic field contains information about the superconducting order parameter and gap symmetry, and is of central importance for any theory of unconventional superconductivity. On the other hand, the temperature dependence of the magnetic order parameter can be determined with very high precision even in situations were the magnetic coherence length is of the order of ten lattice constants only. The magnetic and superconducting properties are examined by implanting the muon which acts as a local magnetic probe directly into the magnetic material or into a magnetic field distribution which is created by the magnetic vortex lattice which is formed when a type-II superconductor is subject to an external magnetic field.
Probing Non-Centrosymmetric Superconductors with Muons
The term non-centrosymmetric (NCS) suggests that a material lack inversion symmetry in its crystal structure. Superconductivity in the NCS systems has recently attracted substantial interest since the discovery of the heavy fermion superconductor CePt3Si (see E. Bauer, et al., Non-Centrosymmetric Superconductors: Introduction and Overview, Springer, 2012; or E. Bauer, et al., Phys. Rev. Lett. 92, 027003, 2004).
The lack of inversion symmetry raises the possibility of a special form of spin-orbit coupling, called anti-symmetric spin-orbit coupling (ASOC), e.g. Rashba-type of coupling. ASOC has a very large energy scale (10 - 100 meV) and can easily lift the degeneracy of the conduction energy bands with spin-split Fermi surfaces. The lack of inversion symmetry leads to novel spin fluctuations which tend to mix spin-singlet and spin-triplet parts. Both components of such mixed-parity pairing state display non-trivial momentum dependencies which may give rise to unusual properties including a helical vortex phase, accidental line nodes in the gap function and complex phase diagrams involving superconductivity and magnetism.
Muon spin rotation study of novel skutterudite superconductors
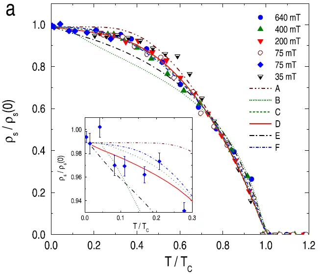
Filled skutterudite compounds are know to exhibit a broad variety of ground state properties. Depending on filling ion ferro-, antiferromagnetic, quadrupolar, and superconducting ordering were observed. Heavy electron mass was evidenced in a number of their representatives. In collaboration with the Max Planck Institute for Chemical Physics of Solids (MPI-CPS) in Dresden we investigated series of Ge-based filled skutterudite compounds with muon spin rotation. In PrPt4Ge12 despite of cubic symmetry of crystal lattice we found unconventional superconducting order parameter with point nodes, resembling that found in the isostructural heavy fermion compound PrOs4Sb12. Later, signature of time reversal symmetry breaking was detected in PrPt4Ge12 with µSR. Based on the analysis of series of Pr(1-x)LaxPt4Ge12 compounds we deduced that this breaking is due to non s-wave orbital pairing rather than spin-triplet pairing of Cooper pairs in contrast to that found in PrOs4Sb12. On the other hand in BaPt4Ge12 and series of BaPt(4-x)AuxGe12 compounds conventional s-wave behavior was detected. In collaboration with MPI-CPS we continue to study filled-skutterudites and related compounds to determine their properties and uncover grounds of their unconventional behavior.