piM3 beam line

The piM3 beam line is currently the only beam line dedicated exclusively to µSR experiments with "surface" muons and "subsurface" muons, altough the original channel was optimized for pions of up to 350 MeV/c. It is attached to the thin target TM at 22.5° in the forward direction. 

At the front of the beam line a triplet of half quadrupoles allows for a large solid angle acceptance of 30 msr. The transported momentum band can be selected between 1% and 3% by slits at the intermediate dispersive focus. A 3 m long crossed-field separator, built at CERN, can be used either as an electron/muon separator or as a muon spin rotator. Due to the optical characteristic of this device, its transport function depends strongly on the high voltage settings. A compromise between high rates and a high degree of transverse polarization has been found experimentally, and a muon spin rotation angle as large as 70° is used routinely. The vacuum system of the beam line is directly connected to the target vacuum chamber, except for a removable thin foil (3 mg/cm²) Mylar which acts as a barrier for the radioactive gases originating in the target region.

Fig 1 : Layout of the piM3 area

After the separator the beam can be steered into one of two experimental areas, shown in Fig 1 . The first area houses the low temperature facility LTF . In the second, a general purpose system GPS for µSR studies is installed.

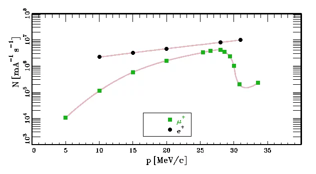
Fig 3 : Flux of positive muons and positrons in piM3

The magnetic components are shown in Fig 2

The measured rates for positive muons and positrons up to 34 MeV/c are shown in Fig 3. Using the separator the positron contamination can be reduced to a level of 1 to 2%. Beam collimating systems, placed at both ends of the bending magnet shown in figure 3, allow the matching of the beam dimensions to the sizes of µSR targets, and so reduce the background from stopped muons in the surrounding material. The beam profiles at the location of the GPS with a circular collimator of 14 mm diameter are shown in Fig 4. They are also representative of the beam shape at the LFT location.