Machine Parameters
| Ring Energy | 2.4 GeV |
|---|---|
| Ring Current | 400 mA |
Source Parameters
| Magnetic field | 2.9 T |
|---|---|
| Critical Energy | 11.1 keV / 1.12 Å |
| Electron source size $\sigma$ x, $\sigma$ y) | 46 µm / 16 µm |
| Electron source divergence ($\sigma$`x, $\sigma$`y) | 109 µrad / 16 µrad |
| Photon source ($\Sigma$x,$\Sigma$y) | 53 µm / 16 µm |
| Photon source divergence ($\Sigma$`x,$\Sigma$`y) | 2 mrad / 0.6 mrad |
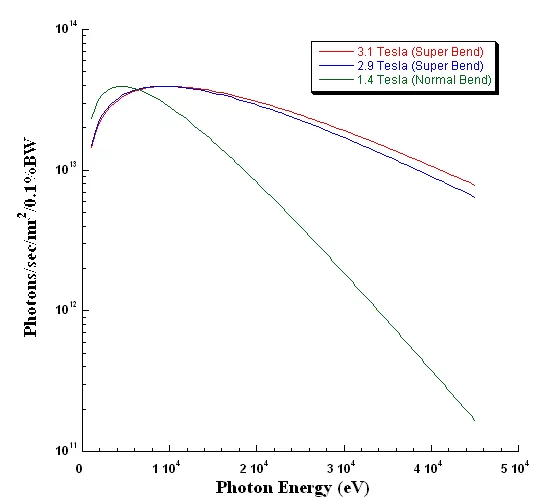
Bending Magnet Flux at SLS
SuperXAS is a super-bending based beamline with 2.9 T (blue line)