Show filters
A measurement of the neutron to 199Hg magnetic moment ratio
The neutron gyromagnetic ratio has been measured relative to that of the 199Hg atom with an uncertainty of 0.8 ppm. We employed an apparatus where ultracold neutrons and mercury atoms are stored in the same volume and report the result γn/γHg = 3.8424574(30).
Short-Range Correlations in the Magnetic Ground State of Na4Ir3O8
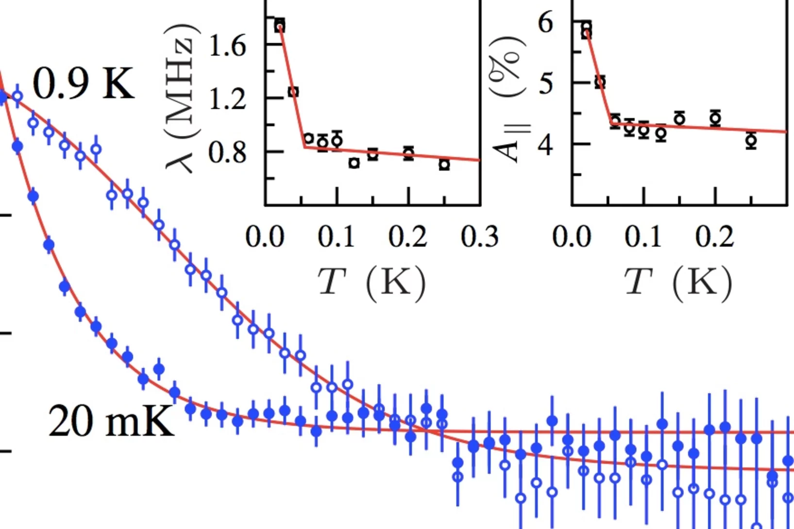
The magnetic ground state of the Jeff = 1/2 hyperkagome lattice in Na4Ir3O8 is explored via combined bulk magnetization, muon spin relaxation, and neutron scattering measurements. A short-range, frozen state comprised of quasistatic moments develops below a characteristic temperature of TF = 6K, revealing an inhomogeneous distribution of spins occupying the entirety of the sample volume. Quasistatic, short- range spin correlations persist until at least 20 mK and differ substantially from the nominally dynamic response of a quantum spin liquid. Our data demonstrate that an inhomogeneous magnetic ground state arises in Na4Ir3O8 driven either by disorder inherent to the creation of the hyperkagome lattice itself or stabilized via quantum fluctuations.
Measurement of the parameter ξ″ in polarized muon decay and implications on exotic couplings of the leptonic weak interaction
The muon decay parameter ξ″ has been determined in a measurement of the longitudinal polarization of positrons emitted from polarized and depolarized muons. The result, ξ″ = 0.981 ± 0.045stat ± 0.003syst, is consistent with the Standard Model prediction of unity, and provides an order of magnitude improvement in the relative precision of this parameter. This value sets new constraints on exotic couplings beyond the dominant V-A description of the leptonic weak interaction.
k=0 Magnetic Structure and Absence of Ferroelectricity in SmFeO3
SmFeO3 has attracted considerable attention very recently due to its reported multiferroic properties above room temperature. We have performed powder and single crystal neutron diffraction as well as complementary polarization dependent soft X-ray absorption spectroscopy measurements on floating-zone grown SmFeO3 single crystals in order to determine its magnetic structure. We found a k=0 G-type collinear antiferromagnetic structure that is not compatible with inverse Dzyaloshinskii-Moriya interaction driven ferroelectricity. While the structural data reveal a clear sign for magneto-elastic coupling at the Néel-temperature of ∼675 K, the dielectric measurements remain silent as far as ferroelectricity is concerned.
A high-pressure hydrogen time projection chamber for the MuCap experiment
The MuCap experiment at the Paul Scherrer Institute performed a high-precision measurement of the rate of the basic electroweak process of nuclear muon capture by the proton, μ- + p → n + νμ. The experimental approach was based on the use of a time projection chamber (TPC) that operated in pure hydrogen gas at a pressure of 10 bar and functioned as an active muon stopping target. The TPC detected the tracks of individual muon arrivals in three dimensions, while the trajectories of outgoing decay (Michel) electrons were measured by two surrounding wire chambers and a plastic scintillation hodoscope.
Molecular Scale Dynamics of Large Ring Polymers
We present neutron scattering data on the structure and dynamics of melts from polyethylene oxide rings with molecular weights up to ten times the entanglement mass of the linear counterpart. The data reveal a very compact conformation displaying a structure approaching a mass fractal, as hypothesized by recent simulation work. The dynamics is characterized by a fast Rouse relaxation of subunits (loops) and a slower dynamics displaying a lattice animal-like loop displacement.
Direct Spectroscopic Observation of a Shallow Hydrogenlike Donor State in Insulating SrTiO3
We present a direct spectroscopic observation of a shallow hydrogenlike muonium state in SrTiO3 which confirms the theoretical prediction that interstitial hydrogen may act as a shallow donor in this material. The formation of this muonium state is temperature dependent and appears below ∼70 K. From the temperature dependence we estimate an activation energy of ∼50 meV in the bulk and ∼23 meV near the free surface. The field and directional dependence of the muonium precession frequencies further supports the shallow impurity state with a rare example of a fully anisotropic hyperfine tensor.
The μ → eγ decay in a systematic effective field
We implement a systematic effective field theory approach to the benchmark process μ → eγ, performing automated one-loop computations including dimension 6 operators and studying their anomalous dimensions. We obtain limits on Wilson coefficients of a relevant subset of lepton-flavour violating operators that contribute to the branching ratio μ → eγ at one-loop.
Electric-Field-Induced Skyrmion Distortion and Giant Lattice Rotation in the Magnetoelectric Insulator Cu2OSeO3
Discovering fundamentally new ways to manipulate magnetic spins is crucial for research into advanced technologies. Magnetic Skyrmions, which are topologically stable whirls of magnetic spins, are promising candidates for new device components since those found in metallic host materials can be manipulated using electric currents.
Controlling the near-surface superfluid density in under doped YBa2Cu3O6+x by photo-illumination
The interaction with light weakens the superconducting ground state in classical superconductors. The situation in cuprate superconductors is more complicated: illumination increases the charge carrier density, a photo-induced effect that persists below room temperature. Furthermore, systematic investigations in underdoped YBa2Cu3O6+x (YBCO) have shown an enhanced critical temperature Tc. Until now, studies of photo-persistent conductivity (PPC) have been limited to investigations of structural and transport properties, as well as the onset of superconductivity.
Mixed Dimensionality of Confined Conducting Electrons in the Surface Region of SrTiO3
Using angle-resolved photoemission spectroscopy, we show that the recently discovered surface state on SrTiO3 consists of nondegenerate t2g states with different dimensional characters.
Spin-lattice coupling induced weak dynamical magnetism in EuTiO3 at high temperatures
EuTiO3, which is a G-type antiferromagnet below TN = 5.5 K, has some fascinating properties at high temperatures, suggesting that macroscopically hidden dynamically fluctuating weak magnetism exists at high temperatures. This conjecture is substantiated by magnetic field dependent magnetization measurements, which exhibit pronounced anomalies below 200 K becoming more distinctive with increasing magnetic field strength. Additional results from muon spin rotation experiments provide evidence for weak fluctuating bulk magnetism induced by spin-lattice coupling which is strongly supported in increasing magnetic field.
Correlated Decay of Triplet Excitations in the Shastry-Sutherland Compound SrCu2(BO3)2
The temperature dependence of the gapped triplet excitations (triplons) in the 2D Shastry-Sutherland quantum magnet SrCu2(BO3)2 is studied by means of inelastic neutron scattering. The excitation amplitude rapidly decreases as a function of temperature, while the integrated spectral weight can be explained by an isolated dimer model up to 10 K.
Negative Oxygen Isotope Effect on the Static Spin Stripe Order in Superconducting La2−xBaxCuO4(x=1/8) Observed by Muon-Spin Rot
Large negative oxygen-isotope (16O and 18O) effects (OIEs) on the static spin-stripe-ordering temperature Tso and the magnetic volume fraction Vm were observed in La2−xBaxCuO4(x=1/8) by means of muon-spin-rotation experiments. The corresponding OIE exponents were found to be αTso=-0.57(6) and αVm=-0.71(9), which are sign reversed to αTC=0.46(6) measured for the superconducting transition temperature Tc. This indicates that the electron-lattice interaction is involved in the stripe formation and plays an important role in the competition between bulk superconductivity and static stripe order in the cuprates.
Direct observation of the spin texture in SmB6 as evidence of the topological Kondo insulator
Topological Kondo insulators have been proposed as a new class of topological insulators in which non-trivial surface states reside in the bulk Kondo band gap at low temperature due to strong spin–orbit coupling. In contrast to other three-dimensional topological insulators, a topological Kondo insulator is truly bulk insulating. Furthermore, strong electron correlations are present in the system, which may interact with the novel topological phase. By applying spin- and angle-resolved photoemission spectroscopy, here we show that the surface states of SmB6 are spin polarized. The spin is locked to the crystal momentum, fulfilling time reversal and crystal symmetries.
Small-angle neutron scattering study of the mixed state of Yb3Rh4Sn13
Using the small angle neutron scattering (SANS) technique we investigated the vortex lattice (VL) in the mixed state of the stannide superconductor Yb3Rh4Sn13. We find a single domain VL of slightly distorted hexagonal geometry for field strengths between 350 and 18 500 G and temperatures between T=0.05 and 6.5 K. We observe a clear in-plane rotation of the VL for different magnetic field directions relative to the crystallographic axes.
Spin-Wave Spectrum of the Quantum Ferromagnet on the Pyrochlore Lattice Lu2V2O7
Neutron inelastic scattering has been used to probe the spin dynamics of the quantum (S=1/2) ferromagnet on the pyrochlore lattice Lu2V2O7. Well-defined spin waves are observed at all energies and wave vectors, allowing us to determine the parameters of the Hamiltonian of the system.
Origin of Anomalous Slip in Tungsten
Low-temperature deformation of body-centered cubic metals shows a significant amount of plastic slip on planes with low shear stresses, a phenomenon called anomalous slip. Despite progress in atomistic modeling of the consequences of complex stress states on dislocation mobility, the phenomenon of anomalous slip remained elusive. Using in situ Laue microdiffraction and discrete dislocation dynamics in micrometer sized tungsten single crystals, we demonstrate the occurrence of significant anomalous slip. It occurs as a consequence of cross kinks, topological configurations generated by prior dislocation interactions.
Identification of transitions between liquid water and ice with dual spectrum neutron imaging
The ability to start up at sub-zero Celsius temperatures is a prerequisite for the use of fuel cells in automotive applications, but specific measures need to be taken to prevent the product water to freeze and block the gas supply pathways. In this context, a method for imaging the distribution of liquid water and ice from neutron imaging experiments was developed.
Muon Cooling: Longitudinal Compression
A 10 MeV/c positive muon beam was stopped in helium gas of a few mbar in a magnetic field of 5T. The muon 'swarm' has been efficiently compressed from a length of 16cm down to a few mm along the magnetic field axis (longitudinal compression) using electrostatic fields. The simulation reproduces the low energy interactions of slow muons in helium gas. Phase space compression occurs on the order of microseconds, compatible with the muon lifetime of 2μs. This paves the way for the preparation of a high- quality low-energy muon beam, with an increase in phase space density relative to a standard surface muon beam of 107. The achievable phase space compression by using only the longitudinal stage presented here is of the order of 104.
Understanding the μSR spectra of MnSi without magnetic polarons
Transverse-field muon-spin rotation (μSR) experiments were performed on a single crystal sample of the noncentrosymmetric system MnSi. The observed angular dependence of the muon precession frequencies matches perfectly the one of the Mn-dipolar fields acting on the muons stopping at a 4a position of the crystallographic structure. The data provide a precise determination of the magnetic dipolar tensor. In addition, we have calculated the shape of the field distribution expected below the magnetic transition temperature TC at the 4a muon site when no external magnetic field is applied.
Controlling Magnetic Order and Quantum Disorder in Molecule-Based Magnets
We investigate the structural and magnetic properties of two molecule-based magnets synthesized from the same starting components. Their different structural motifs promote contrasting exchange pathways and consequently lead to markedly different magnetic ground states. Through examination of their structural and magnetic properties we show that [Cu(pyz)(H2O)(gly)2](ClO4)2 may be considered a quasi-one- dimensional quantum Heisenberg antiferromagnet whereas the related compound [Cu(pyz)(gly)](ClO4), which is formed from dimers of antiferromagnetically interacting Cu2+ spins, remains disordered down to at least 0.03 K in zero field but shows a field-temperature phase diagram reminiscent of that seen in materials showing a Bose-Einstein condensation of magnons.
Lattice-Site-Specific Spin Dynamics in Double Perovskite Sr2CoOsO6
Magnetic properties and spin dynamics have been studied for the structurally ordered double perovskite Sr2CoOsO6. Neutron diffraction, muon-spin relaxation, and ac-susceptibility measurements reveal two antiferromagnetic (AFM) phases on cooling from room temperature down to 2 K. In the first AFM phase, with transition temperature TN1=108K, cobalt (3d7, S=3/2) and osmium (5d2, S=1) moments fluctuate dynamically, while their average effective moments undergo long-range order. In the second AFM phase below TN2=67K, cobalt moments first become frozen and induce a noncollinear spin-canted AFM state, while dynamically fluctuating osmium moments are later frozen into a randomly canted state at T≈5K.
Quantum and classical criticality in a dimerised quantum antiferromagnet
A quantum critical point (QCP) is a singularity in the phase diagram arising due to quantum mechanical fluctuations. The exotic properties of some of the most enigmatic physical systems, including unconventional metals and superconductors, quantum magnets, and ultracold atomic condensates, have been related to the importance of the critical quantum and thermal fluctuations near such a point.
Spin-Nematic Interaction in the Multiferroic Compound Ba2CoGe2O7
We demonstrate the existence of the spin-nematic interactions in an easy-plane type antiferromagnet Ba2CoGe2O7 by exploring the magnetic anisotropy and spin dynamics. The combination of neutron scattering and magnetic susceptibility measurements reveals that the origin of the in-plane anisotropy is an antiferro-type interaction of the spin-nematic operator. The relation between the nematic operator and the electric polarization in the ligand symmetry of this compound is presented. The introduction of the spin-nematic interaction is useful to understand the physics of spin and electric dipole in multiferroic compounds.
Hydride ions in oxide hosts hidden by hydroxide ions
The true oxidation state of formally ‘H?-’ ions incorporated in an oxide host is frequently discussed in connection with chemical shifts of 1H nuclear magnetic resonance spectroscopy, as they can exhibit values typically attributed to H+. Here we systematically investigate the link between geometrical structure and chemical shift of H- ?ions in an oxide host, mayenite, with a combination of experimental and ab initio approaches, in an attempt to resolve this issue.
Bipartite magnetic parent phases in the iron oxypnictide superconductor
High-temperature superconductivity appears as a consequence of doping charge carriers into an undoped parent compound exhibiting antiferromagnetic order; therefore, ground-state properties of the parent compound are highly relevant to the superconducting state. On the basis of this logic, spin fluctuations have been considered as the origin of pairing of the superconducting electrons in the cuprates.
Direct Observation of Magnetic Metastability in Individual Iron Nanoparticles
Studying the magnetization of individual iron (Fe) nanoparticles by magnetic spectromicroscopy reveals that superparamagnetic (SPM) and ferromagnetic blocked (FM) nanoparticles can coexist in the investigated size range of 8-20 nm.
Comprehensive study of the spin-charge interplay in antiferromagnetic La2-xSrxCuO4
The origin of the pseudogap and its relationship with superconductivity in the cuprates remains vague. In particular, the interplay between the pseudogap and magnetism is mysterious. Recent low-temperature angle-resolved photoemission spectroscopy (ARPES) experiments on the underdoped cuprate superconductors indicate the presence of a fully gapped Fermi surface (FS); even in the antiferromagnetic phase.
Pressure-Induced Quantum Critical and Multicritical Points in a Frustrated Spin Liquid
The quantum spin-liquid compound (C4H12N2)Cu2Cl6 is studied by muon spin relaxation under hydrostatic pressures up to 23.6 kbar. At low temperatures, pressure-induced incommensurate magnetic order is detected beyond a quantum critical point at Pc ∼ 4.3 kbar. An additional phase transition to a different ordered phase is observed at P1 ∼ 13.4 kbar. The data indicate that the high-pressure phase may be a commensurate one. The established (P-T) phase diagram reveals the corresponding pressure-induced multicritical point at P1, T1 = 2.0 K.